精英家教网 > 初中数学 > 题目详情

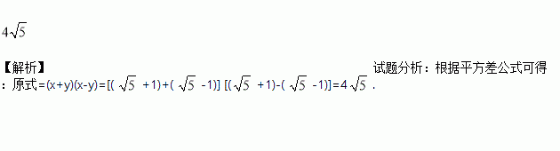
已知,则的值为___________.

练习册系列答案
相关习题

科目:初中数学 来源:2016-2017学年湖南省邵阳县七年级下学期期中考试数学试卷(解析版) 题型:单选题

如果中的解x、y相同,则m的值是( )

A. 1 B. -1 C. 2 D. -2

查看答案和解析>>

科目:初中数学 来源:2016-2017学年山东省日照市莒县八年级下学期期中考试数学试卷(解析版) 题型:单选题

如图,矩形ABCD的面积为20cm2,对角线交于点O;以AB、AO为邻边做平行四边形AOC1B,对角线交于点O1;以AB、AO1为邻边做平行四边形AO1C2B;…;依此类推,则平行四边形AO4C5B的面积为(  ).

A. cm2 B. cm2 C. cm2 D. cm2

查看答案和解析>>

科目:初中数学 来源:2016-2017学年浙江杭州开元中学八年级(下)期中模拟数学试卷(解析版) 题型:解答题

某童装专卖店在销售中发现,一款童装每件进价为80元,销售价为120元时,每天可售出20件,为了迎接“五一”国际劳动节,商店决定采取适当的降价措施,以扩大销售量,增加利润,经市场调查发现,如果每件童装降价1元,那么平均可多售出2件.

(1)设每件童装降价x元时,每天可销售  件,每件盈利  元;(用x的代数式表示)

(2)每件童装降价多少元时,平均每天赢利1200元.

(3)要想平均每天赢利2000元,可能吗?请说明理由.

查看答案和解析>>

科目:初中数学 来源:2016-2017学年浙江杭州开元中学八年级(下)期中模拟数学试卷(解析版) 题型:填空题

如图,是一个长为30m,宽为20m的矩形花园,现要在花园中修建等宽的小道,剩余的地方种植花草.如图所示,要使种植花草的面积为532m2,那么小道进出口的宽度应为 米.

查看答案和解析>>

科目:初中数学 来源:2016-2017学年浙江杭州开元中学八年级(下)期中模拟数学试卷(解析版) 题型:选择题

已知关于x的方程kx2+(1-k)x-1=0,下列说法正确的是( ).

A.当时,方程无解

B.当时,方程有两个相等的实数解

C.当时,方程有一个实数解

D.当时,方程总有两个不相等的实数解

查看答案和解析>>

科目:初中数学 来源:2016-2017学年浙江杭州开元中学八年级(下)期中模拟数学试卷(解析版) 题型:单选题

下列根式中,不能与合并的是 ( )

A. B. C. D.

查看答案和解析>>

科目:初中数学 来源:2016-2017学年湖北省枝江市九校七年级下学期期中联考数学试卷(解析版) 题型:选择题

估计的值 ( )

A.在3到4之间 B.在4到5之间 C.在5到6之间 D.在6到7之间

查看答案和解析>>

科目:初中数学 来源:2016-2017学年江苏省启东市八年级下学期期中考试数学试卷(解析版) 题型:解答题

如图,在平行四边形ABCD中,对角线AC,BD交于点O,经过点O的直线交AB于E,交CD于F. 求证:OE=OF.

查看答案和解析>>

同步练习册答案