精英家教网 > 初中数学 > 题目详情

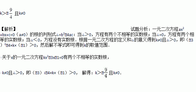
如果关于x的一元二次方程kx2﹣3x﹣1=0有两个不相等的实根,那么k的取值范围是__.

练习册系列答案
相关习题

科目:初中数学 来源:2016-2017学年安徽省宁国市D片七年级下学期期中联考数学试卷(解析版) 题型:单选题

的算术平方根是( )

A. 3 B. -3 C. ±3 D.

查看答案和解析>>

科目:初中数学 来源:2017届河北石家庄市九年级中考模拟数学试卷(解析版) 题型:选择题

甲乙两地相距420千米,新修的高速公路开通后,在甲、乙两地行驶的长途客运车平均速度是原来的1.5倍,进而从甲地到乙地的时间缩短了2小时.设原来的平均速度为x千米/时,可列方程为( )

A. B.

C. D.

查看答案和解析>>

科目:初中数学 来源:2017届甘肃省白银市中考模拟数学试卷四(解析版) 题型:解答题

在一个不透明的箱子里,装有黄、白、黑各一个球,它们除了颜色之外没有其他区别.

(1)随机从箱子里取出1个球,则取出黄球的概率是多少?

(2)随机从箱子里取出1个球,放回搅匀再取第二个球,请你用画树状图或列表的方法表示出所有可能出现的结果,并求两次取出的都是白色球的概率.

查看答案和解析>>

科目:初中数学 来源:2017届甘肃省白银市中考模拟数学试卷四(解析版) 题型:填空题

如图,已知点A、B、C、D均在以BC为直径的圆上,AD∥BC,AC平分∠BCD,∠ADC=120°,四边形ABCD的周长为10,则图中阴影部分的面积为__.

查看答案和解析>>

科目:初中数学 来源:2017届甘肃省白银市中考模拟数学试卷四(解析版) 题型:单选题

如图,在?ABCD中,BF平分∠ABC,交AD于点F,CE平分∠BCD,交AD于点E,AB=6,EF=2,则BC长为(  )

A. 8 B. 10 C. 12 D. 14

查看答案和解析>>

科目:初中数学 来源:[首发]2016-2017学年江西省宜春市丰城市七年级下学期期中考试数学试卷(解析版) 题型:解答题

探索发现:如图1,已知直线l1∥l2,且l3和l1、l2分别相交于A、B两点,l4和l1、l2分别交于C、D两点,∠ACP记作∠1,∠BDP记作∠2,∠CPD记作∠3.点P在线段AB上.

(1)若∠1=20°,∠2=30°,请你求出∠3的度数

归纳总结:(2)请你根据上述问题,请你找出图1中∠1、∠2、∠3之间的数量关系,并直接写出你的结论.

实践应用:(3)应用(2)中的结论解答下列问题:如图2,点A在B的北偏东40°的方向上,在C的北偏西45°的方向上,请你根据上述结论直接写出∠BAC的度数.

拓展延伸:(4)如果点P在直线l3上且在A、B两点外侧运动时,其他条件不变,试探究∠1、∠2、

∠3之间的关系(点P和A、B两点不重合),写出你的结论并说明理由.

查看答案和解析>>

科目:初中数学 来源:[首发]2016-2017学年江西省宜春市丰城市七年级下学期期中考试数学试卷(解析版) 题型:单选题

如图是某公园里一处矩形风景欣赏区ABCD,长AB=50米,宽BC=25米,为方便游人观赏,公园特意修建了如图所示的小路(图中非阴影部分),小路的宽均为1米,那小明沿着小路的中间,从出口A到出口B所走的路线(图中虚线)长为(  )

A. 75米 B. 74米 C. 100米 D. 99米

查看答案和解析>>

科目:初中数学 来源:2016届湖南省中考模拟训练数学试卷(解析版) 题型:填空题

函数的最大值为____________.

查看答案和解析>>

同步练习册答案