精英家教网 > 初中数学 > 题目详情

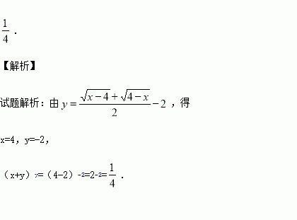
,则

练习册系列答案
相关习题

科目:初中数学 来源:2015-2016学年山东省文慧学校七年级下第一次月考数学试卷(解析版) 题型:选择题

已知∠α的补角为125°12′,则它的余角为( )

A. 35°12′ B.35°48′ C.55°12′ D.55°48′

查看答案和解析>>

科目:初中数学 来源:2016届辽宁省营口市九年级中考模拟考试一数学试卷(解析版) 题型:填空题

如图,点D、E分别在AB、BC上,DE‖AC,AF‖BC,∠1=70°,则∠2= °.

查看答案和解析>>

科目:初中数学 来源:2016届江苏省扬州市宝应县九年级下学期第一次网上阅卷测试数学试卷(解析版) 题型:解答题

如图,在四边形ABCD中,AD∥BC,∠A=90°,CE⊥BD于E,AB=EC.

(1)求证:△ABD≌△ECB;

(2)若∠EDC=65°,求∠ECB的度数;

(3)若AD=3,AB=4,求DC的长.

查看答案和解析>>

科目:初中数学 来源:2016届江苏省扬州市宝应县九年级下学期第一次网上阅卷测试数学试卷(解析版) 题型:填空题

正方形A1B1C1O,A2B2C2C1,A3B3C3C2,…按如图的方式放置.点A1,A2,A3,…和点C1,C2,C3,…分别在直线y=x+1和x轴上,则点B6的坐标是

查看答案和解析>>

科目:初中数学 来源:2016届江苏省扬州市宝应县九年级下学期第一次网上阅卷测试数学试卷(解析版) 题型:选择题

如图,AB是⊙O的直径,AM和BN是它的两条切线,DC切⊙O 于E,交AM于D,交BN于C.若ADBC=9,则直径AB的长为

A. B. 6 C.9 D.

查看答案和解析>>

科目:初中数学 来源:2016届江苏省扬州市宝应县九年级下学期第一次网上阅卷测试数学试卷(解析版) 题型:选择题

的值是

A. 1 B.-1 C.2016 D.-2016

查看答案和解析>>

科目:初中数学 来源:2015-2016学年江苏省宜兴市丁蜀七校七年级下3月月考数学试卷(解析版) 题型:选择题

如果 ,,那么三数的大小关系为( )

A. B. C. D.

查看答案和解析>>

科目:初中数学 来源:2015-2016学年江苏省兴化市顾庄三校八年级下第一次月考数学试卷(解析版) 题型:解答题

在Rt△ABC中∠BAC=90º,E,F分别是BC,AC的中点,延长BA到点D,使AD=AB,连接DE,DF。

(1)试说明AF与DE互相平分;

(2)若BC=4,求DF的长。

查看答案和解析>>

同步练习册答案