精英家教网 > 初中数学 > 题目详情
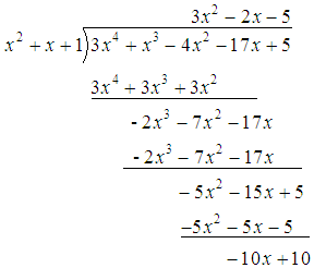
12.求f(x)=3x4+x3-4x2-17x+5除以g(x)=x2+x+1的商式q(x)和余式r(x).

分析 利用竖式除法计算即可.

解答 解:如右图所示,
∴(3x4+x3-4x2-17x+5)÷(x2+x+1)=(3x2-2x-5)…(-10x+10).
∴商式q(x)为:3x2-2x-5,r(x)为:-10x+10.

点评 本题主要考查多项式除以多项式,解决此类问题时,可以仿照多位数除以多位数,利用竖式进行计算.

练习册系列答案
相关习题

科目:初中数学 来源: 题型:填空题

2.已知m,n为方程x2+2x-1=0的两个实数根,则m2-mn+n2=7.

查看答案和解析>>

科目:初中数学 来源: 题型:解答题

3.为纪念红军长征胜利80周年,特技飞行队在名胜风景旅游区--张家界天门洞特技表演,其中一架飞机起飞后的高度变化如表:
高度变化记作
上升4.5km+4.5km
下降3.2km-3.2km
上升1.1km+1.1km
下降1.4km-1.4km
(1)此时这架飞机比起飞点高了多少千米?
(2)如果飞机每上升或下降1千米需消耗2升燃油,那么这架飞机在这4个动作表演过程中,一共消耗了多少升燃油?
(3)如果飞机做特技表演时,有4个规定动作,起飞后高度变化如下:上升3.8千米,下降2.9千米,再上升1.6千米.若要使飞机最终比起飞点高出1千米,问第4个动作是上升还是下降,上升或下降多少千米?

查看答案和解析>>

科目:初中数学 来源: 题型:填空题

20.从甲、乙、丙、丁4名学生中随机抽取2名学生担任数学小组长,则抽取到甲和乙概率为$\frac{1}{6}$.

查看答案和解析>>

科目:初中数学 来源: 题型:解答题

7.计算:|$\sqrt{3}$-2|-$\sqrt{7}$($\frac{1}{\sqrt{7}}$+$\sqrt{7}$)+$\root{3}{-8}$-$\sqrt{(-3)^{2}}$.

查看答案和解析>>

科目:初中数学 来源: 题型:解答题

17.在△ABC中,AB=9,AC=6,点M在AB上,且AM=3,点N在AC上,若连接MN,使△AMN与原三角形相似,求AN的长.

查看答案和解析>>

科目:初中数学 来源: 题型:解答题

4.计算下列各式:
(1)$\sqrt{(3.14-π)^{2}}$;
(2)-(-$\sqrt{{3}^{2}}$)2
(3)$\sqrt{[(\frac{2}{3})^{-1}]^{2}}$;
(4)($\frac{3}{\sqrt{0.{5}^{2}}}$)2

查看答案和解析>>

科目:初中数学 来源: 题型:解答题

1.如图,抛物线y=ax2+bx过A(4,0),B(1,3)两点,点C、B关于抛物线的对称轴对称,过点B作直线BH⊥x轴,交x轴于点H.
(1)求抛物线的表达式;
(2)直按写出点C的坐标,并求出△ABC的面积;
(3)若点M在直线BH上运动,点.N在x轴上,且MN⊥CM,当以点C、M、N为顶点的三角形和△ABH相似时,请求出此时△CMN的面积.
(4)把抛物线沿直线AB平移,设平移后的抛物线与AB的交点为E,F(点E在F下方),当∠EHF=45°时,请直接写出点E的坐标.

查看答案和解析>>

科目:初中数学 来源: 题型:解答题

2.已知函数y=(m2+m)x${\;}^{{m}^{2}-m}$-2x是关于x的二次函数,求不等式(m-4)x>m+2的解集.

查看答案和解析>>

同步练习册答案