精英家教网 > 初中数学 > 题目详情

为了解某中学九年级学生的上学方式,从该校九年级全体300名学生中,随机抽查了60名学生,结果显示有5名学生“骑共享单车上学”.由此,估计该校九年级全体学生中约有_______名学生“骑共享单车上学”.

练习册系列答案
相关习题

科目:初中数学 来源:2017届浙江省杭州市九年级3月教学质量检测(模拟)数学试卷(解析版) 题型:单选题

已知x=2是不等式的解,且x=1不是这个不等式的解,则实数a的取值范围是( )

A. B. C. D.

查看答案和解析>>

科目:初中数学 来源:2017届上海市嘉定区初三第二学期质量调研测试数学试卷(解析版) 题型:填空题

如图,已知在△ABC中,,将△ABC绕着点旋转,点的对应点分别记为与边相交于点.如果,那么线段的长为__.

查看答案和解析>>

科目:初中数学 来源:2017届上海市嘉定区初三第二学期质量调研测试数学试卷(解析版) 题型:单选题

如果表示不为的任意一个实数,那么下列四个算式中,正确的是 ( )

A. ; B. ; C. D. .

查看答案和解析>>

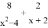
科目:初中数学 来源:2017届上海市宝山区九年级第二学期期中考试数学试卷(解析版) 题型:解答题

化简,再求值: ,其中

查看答案和解析>>

科目:初中数学 来源:2017届上海市宝山区九年级第二学期期中考试数学试卷(解析版) 题型:填空题

计算:=______.

查看答案和解析>>

科目:初中数学 来源:2017届上海市宝山区九年级第二学期期中考试数学试卷(解析版) 题型:单选题

方程实数根的个数是( )

A. 0 B. 1 C. 2 D. 3

查看答案和解析>>

科目:初中数学 来源:2016-2017学年广西北海市合浦县七年级下学期期中考试数学试卷(解析版) 题型:单选题

若(x-5)(2x-n)=2x2+mx-15,则m、n的值分别是( )

A. m=-7,n=3; B. m=7,n=-3; C. m=-7,n=-3; D. m=7,n=3;

查看答案和解析>>

科目:初中数学 来源:2016-2017学年江苏省靖江市七年级下学期期中考试数学试卷(解析版) 题型:解答题

(1)已知:如图1,BE⊥DE,∠1=∠B,∠2=∠D,试证明AB与CD平行。

(2)若图形变化为如图2、图3所示,且满足AB∥ CD,BE⊥DE,∠1=∠B,∠2=∠D,那么∠1与∠2有怎样的关系?选择一个图形进行证明。

查看答案和解析>>

同步练习册答案