精英家教网 > 初中数学 > 题目详情

方程实数根的个数是( )

A. 0 B. 1 C. 2 D. 3

练习册系列答案
相关习题

科目:初中数学 来源:2016-2017学年河北省唐山市路南区八年级下学期期中质量检测数学试卷(解析版) 题型:解答题

阅读下面材料,解答后面问题:

在数学课上,老师提出如下问题:

已知:Rt△ABC,∠ABC=90°.

求作:矩形ABCD.

小敏的作法如下:

①作线段AC的垂直平分线交AC于点O;

②连接BO并延长,在延长线上截取OD=BO;

③连接DA,DC.

则四边形ABCD即为所求.

判断小敏的作法是否正确?若正确,请证明;若不正确,请说明理由.

查看答案和解析>>

科目:初中数学 来源:2017届上海市嘉定区初三第二学期质量调研测试数学试卷(解析版) 题型:单选题

将两个底边相等的等腰三角形按照图所示的方式拼接在一起(隐藏互相重合的底边)的图形俗称为“筝形”.假如“筝形”下个定义,那么下面四种说法中,你认为最能够描述“筝形”特征的是 ( )

A. 有两组邻边相等的四边形称为“筝形”;

B. 有两组对角分别相等的四边形称为“筝形”;

C. 两条对角线互相垂直的四边形称为“筝形”;

D. 以一条对角线所在直线为对称轴的四边形称为“筝形”.

查看答案和解析>>

科目:初中数学 来源:2017届上海市宝山区九年级第二学期期中考试数学试卷(解析版) 题型:填空题

为了解某中学九年级学生的上学方式,从该校九年级全体300名学生中,随机抽查了60名学生,结果显示有5名学生“骑共享单车上学”.由此,估计该校九年级全体学生中约有_______名学生“骑共享单车上学”.

查看答案和解析>>

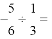
科目:初中数学 来源:2017届上海市宝山区九年级第二学期期中考试数学试卷(解析版) 题型:填空题

计算:______.

查看答案和解析>>

科目:初中数学 来源:2016-2017学年广西北海市合浦县七年级下学期期中考试数学试卷(解析版) 题型:解答题

2辆大卡车和5辆小卡车工作2小时可运送垃圾36吨,3辆大卡车和2辆小卡车工作5小时可运输垃圾80吨,那么1辆大卡车和1辆小卡车1小时各运多少吨垃圾?

查看答案和解析>>

科目:初中数学 来源:2016-2017学年广西北海市合浦县七年级下学期期中考试数学试卷(解析版) 题型:填空题

若2x+y=3,则4x·2y=_____________.

查看答案和解析>>

科目:初中数学 来源:2016-2017学年山东省泰安市泰山区六年级(五四制)上学期期末学情检测数学试卷(解析版) 题型:解答题

列方程解应用题:

某车间有32名工人,每人每天可加工甲种零件10个或乙种零件8个。在这32名工人中,一部分工人加工甲种零件,其余的加工乙种零件,已知每加工一个甲种零件可获利35元,每加工一个乙种零件可获利50元。若此车间这一天一共获利12200元,求这一天加工乙种零件工人的人数。

查看答案和解析>>

科目:初中数学 来源:2016-2017学年江苏省靖江市七年级下学期期中考试数学试卷(解析版) 题型:填空题

若关于的方程是二元一次方程,则_______

查看答案和解析>>

同步练习册答案