精英家教网 > 初中数学 > 题目详情

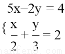
若关于的方程是二元一次方程,则_______

练习册系列答案
相关习题

科目:初中数学 来源:2017届上海市宝山区九年级第二学期期中考试数学试卷(解析版) 题型:单选题

方程实数根的个数是( )

A. 0 B. 1 C. 2 D. 3

查看答案和解析>>

科目:初中数学 来源:2016-2017学年山东省泰安市泰山区六年级(五四制)上学期期末学情检测数学试卷(解析版) 题型:填空题

近似数12.48万精确到__________位.

查看答案和解析>>

科目:初中数学 来源:2016-2017学年江苏省靖江市七年级下学期期中考试数学试卷(解析版) 题型:解答题

(1)已知:如图1,BE⊥DE,∠1=∠B,∠2=∠D,试证明AB与CD平行。

(2)若图形变化为如图2、图3所示,且满足AB∥ CD,BE⊥DE,∠1=∠B,∠2=∠D,那么∠1与∠2有怎样的关系?选择一个图形进行证明。

查看答案和解析>>

科目:初中数学 来源:2016-2017学年江苏省靖江市七年级下学期期中考试数学试卷(解析版) 题型:解答题

计算

(1)

(2)

(3)已知,求 的值

(4)

查看答案和解析>>

科目:初中数学 来源:2016-2017学年江苏省靖江市七年级下学期期中考试数学试卷(解析版) 题型:填空题

“同位角相等”的逆命题是______________________.

查看答案和解析>>

科目:初中数学 来源:2016-2017学年江苏省靖江市七年级下学期期中考试数学试卷(解析版) 题型:单选题

下列计算:(1)an•an=2an,(2)a6+a6=a12,(3)c•c5=c5,(4)26+26=27,(5)(3xy3)3=9x3y9中,正确的个数为( )

A. 0个 B. 1个 C. 2个 D. 3个

查看答案和解析>>

科目:初中数学 来源:2017届江苏省丹阳市九年级下学期期中考试数学试卷(解析版) 题型:单选题

下列运算正确的是(  )

A. a7÷a4=a3 B. 5a2﹣3a=2a C. 3a4•a2=3a8 D. (a3b2)2=a5b4

查看答案和解析>>

科目:初中数学 来源:2016-2017学年江苏省无锡市锡北片七年级下学期期中考试数学试卷(解析版) 题型:解答题

已知(ax)y=a6,(ax)2÷ay=a3

(1)求xy和2x﹣y的值;

(2)求4x2+y2的值.

查看答案和解析>>

同步练习册答案