精英家教网 > 初中数学 > 题目详情

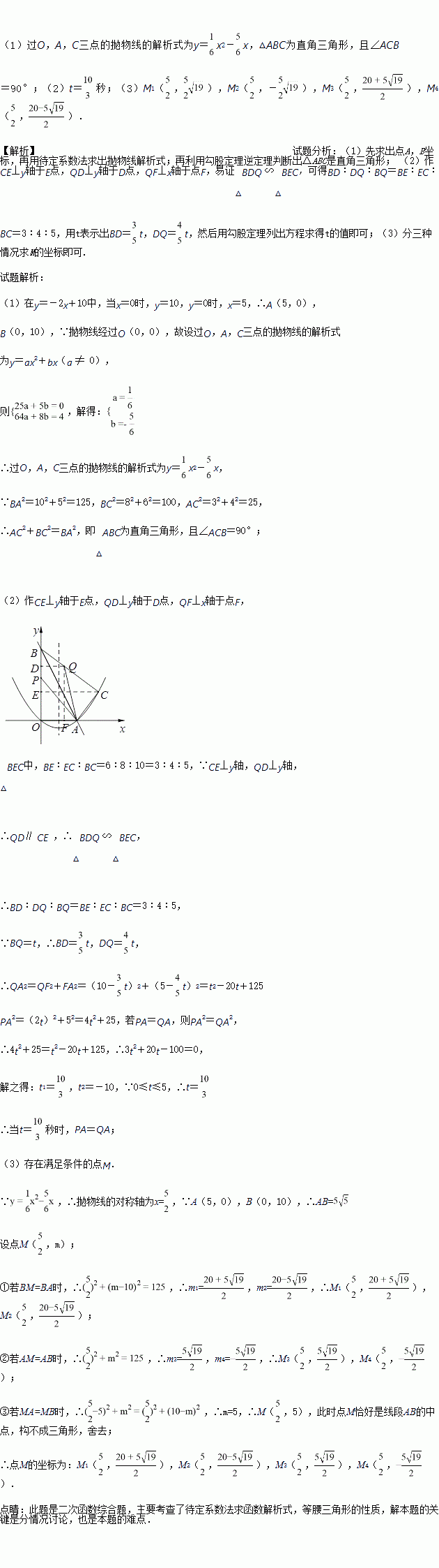
如图,在平面直角坐标系中,直线y=-2x+10与x轴,y轴相交于A,B两点,点C的坐标为(8,4),连接AC,BC.

(1)求过O,A,C三点的抛物线的解析式,并判断△ABC的形状;

(2)动点P从O点出发,沿OB以每秒两个单位长度的速度向点B运动,同时动点Q从点B出发,沿BC以每秒一个单位长度的速度向点C运动,规定其中一个动点到达端点时另一个动点也随之停止运动,设运动时间为t秒,当t为何值时,PA=QA?;

(3)在抛物线的对称轴上,是否存在点M,使A,B,M为顶点的三角形是等腰三角形?若存在,直接写出M点的坐标;若不存在,请说明理由.

练习册系列答案
相关习题

科目:初中数学 来源: 题型:选择题

1.下列二次根式中,最简二次根式是(  )
A.$\sqrt{0.3}$B.$\sqrt{12}$C.$\sqrt{\frac{1}{5}}$D.$\sqrt{7}$

查看答案和解析>>

科目:初中数学 来源: 题型:选择题

2.在$\sqrt{3}$,$\frac{22}{7}$,$\sqrt{4}$,$\frac{2}{π}$,2.1010010001…(每两个1之间依次增加一个0)中无理数有(  )
A.1个B.2个C.3个D.4个

查看答案和解析>>

科目:初中数学 来源: 题型:解答题

17.某旅游区一宾馆现有客房120间,每间客房的房价为120元,每天都客满,宾馆装修后,要提高房价.如果一间客房的房价每增加10元,则客房入住数每天就会减少5间,不考虑其他因素,该宾馆的房价提高到多少元时,客房每天的总收入最高?比装修前每天的总收入增加多少元?

查看答案和解析>>

科目:初中数学 来源: 题型:解答题

3.解不等式组:$\left\{\begin{array}{l}{2x+1>x}\\{\frac{x-4}{2}≥x-3}\end{array}\right.$并把它的解在数轴上表示出来.

查看答案和解析>>

科目:初中数学 来源:2017届河南省周口市招第一次模拟考试数学试卷(解析版) 题型:填空题

在甲、乙两名同学中选拔一人参加“中国诗词大会”,在相同的测试条件下,两人5次测试成绩(单位:分)如下:

甲:79,86,82,85,83

乙:88,79,90,81,72

回答下列问题:

(1)甲成绩的平均数是 ,乙成绩的平均数是

(2)经计算可知:S2甲=6,S2乙=42,你认为选谁参加竞赛比较合适,说明理由;

(3)如果从两个人5次的成绩中各随机抽取一次进行分析,求抽到的两个人的成绩都大于80分的概率.

查看答案和解析>>

科目:初中数学 来源:2017届河南省周口市招第一次模拟考试数学试卷(解析版) 题型:填空题

有一个正五边形和一个正方形边长相等,如图放置,则∠1=______.

查看答案和解析>>

科目:初中数学 来源:2017届广东省广州市九年级下学期3月月考数学试卷(解析版) 题型:判断题

已知多项式A=.

求【解析】
(1)化简多项式A; (2)若,求A的值.

查看答案和解析>>

科目:初中数学 来源:2017届江苏省徐州市九年级下学期第一次(3月)月考数学试卷(解析版) 题型:单选题

若式子在实数范围内有意义,则x的取值范围是(  )

A. x≠1 B. x>1 C. x≥1 D. x≤1

查看答案和解析>>

同步练习册答案