精英家教网 > 初中数学 > 题目详情

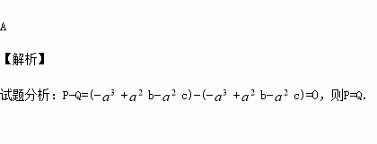
设P=,Q=,则P与Q的关系是( )

A. P=Q B. P>Q C. P<Q D. 互为相反数

练习册系列答案
相关习题

科目:初中数学 来源:2015-2016学年湖南省衡阳市七年级下第一次月考数学试卷(解析版) 题型:选择题

下列说法正确的是( )

A.有且只有一条直线与已知直线平行

B.垂直于同一条直线的两条直线互相平行

C.从直线外一点到这条直线的垂线段,叫做这点到这条直线的距离

D.在平面内过一点有且只有一条直线与已知直线垂直

查看答案和解析>>

科目:初中数学 来源:2016届湖南省九年级第六次限时训练数学试卷(解析版) 题型:选择题

在△ABC中,AB=AC=10,点D是边BC上一动点(不与B,C重合),连结AD,作∠ADE=∠B=α,DE交AC于点E,且cosα=.有下列结论:①△ADE∽△ACD; ②当BD=6时,△ABD与△DCE全等;③当△DCE为直角三角形时,BD=8;④3.6≤AE<10.其中正确的结论是( )

A.①③ B.①④ C.①②④ D.①②③

查看答案和解析>>

科目:初中数学 来源:2015-2016学年广西贵港市平南县七年级3月月考数学试卷(解析版) 题型:解答题

计算 (1) (2).

查看答案和解析>>

科目:初中数学 来源:2015-2016学年广西贵港市平南县七年级3月月考数学试卷(解析版) 题型:选择题

为确保信息安全,信息需加密传输,发送方由明文→密文(加密);接收方由密文→明文(解密).已知加密规则为:明文对应密文. 例如:明文1,2,3对应的密文5,7,9.当接收方收到密文14,9,15时,则解密得到的明文为( )

A. 10,5,2 B. 10,2,5 C. 2,5,10 D. 5,10,2

查看答案和解析>>

科目:初中数学 来源:2015-2016学年广西贵港市平南县七年级3月月考数学试卷(解析版) 题型:选择题

用加减消元法解方程组时,有下列四种变形,其中正确的是( )

A. B. C. D.

查看答案和解析>>

科目:初中数学 来源:2015-2016学年广西贵港市平南县八年级3月月考数学试卷(解析版) 题型:解答题

解方程组,并求的值.

查看答案和解析>>

科目:初中数学 来源:2015-2016学年广西贵港市平南县八年级3月月考数学试卷(解析版) 题型:选择题

已知是正整数,则实数的最大值为( )

A. 12 B. 11 C. 8 D. 3

查看答案和解析>>

科目:初中数学 来源:2015-2016学年北大附中河南分校八年级3月月考数学试卷(解析版) 题型:填空题

菱形的面积为24,一条对角线长为6,则它的周长是___________.

查看答案和解析>>

同步练习册答案