精英家教网 > 初中数学 > 题目详情

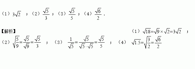
化简:(8分)

(1) ; (2) ; (3) ; (4)

练习册系列答案
相关习题

科目:初中数学 来源:2017届河北省毕业生升学文化课模拟考试数学试卷(解析版) 题型:单选题

对于一组统计数据:3,3,6,3,5,下列说法中错误的是(   )

A. 平均数是4 B. 众数是3

C. 方差是1.6 D. 中位数是6

查看答案和解析>>

科目:初中数学 来源:2016-2017学年浙江省七年级3月月考数学试卷(解析版) 题型:填空题

若方程组的解是则方程组的解为________

查看答案和解析>>

科目:初中数学 来源:2016-2017学年浙江省七年级3月月考数学试卷(解析版) 题型:单选题

如图,直线被直线所截,现给出下列四个条件:(1)∠1=∠5;(2)∠4=∠7,(3)∠2+∠3=180°;(4)∠1=∠7;其中能判定的条件的序号是(  )

A. (1)(2) B. (1)(3) C. (1)(4) D. (3)(4)

查看答案和解析>>

科目:初中数学 来源:2016-2017学年广东省高州市八年级上学期期中考试数学试卷(B卷)(解析版) 题型:解答题

已知x=-1,y=,求的值

查看答案和解析>>

科目:初中数学 来源:2016-2017学年广东省高州市八年级上学期期中考试数学试卷(B卷)(解析版) 题型:填空题

在 Rt△ABC 中,∠C=90°,BC=12,AC=9,则 AB=_____

查看答案和解析>>

科目:初中数学 来源:2016-2017学年广东省高州市八年级上学期期中考试数学试卷(B卷)(解析版) 题型:单选题

大的实数是( )

A. -5 B. 0 C. 3 D.

查看答案和解析>>

科目:初中数学 来源:2017届广东省高州市九年级上学期期中考试数学试卷(A卷)(解析版) 题型:填空题

从甲、乙、丙、丁4名三号学生中随机抽取2名学生担任升旗手,则抽取的2名学生是甲和乙概率为

查看答案和解析>>

科目:初中数学 来源:2016届浙江省温州市九年级下学期第一次适应试考试数学试卷(解析版) 题型:解答题

某校准备去楠溪江某景点春游,旅行社面向学生推出的收费标准如下:

人数m

0<m≤100

100<m≤200

m>200

收费标准(元/人)

90

80

70

已知该校七年级参加春游学生人数多于100人,八年级参加春游学生人数少于100人.经核算,若两个年级分别组团共需花费17700元,若两个年级联合组团只需花费14700元.

(1)两个年级参加春游学生人数之和超过200人吗?为什么?

(2)两个年级参加春游学生各有多少人?

查看答案和解析>>

同步练习册答案