精英家教网 > 初中数学 > 题目详情

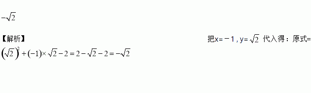
已知x=-1,y=,求的值

练习册系列答案
相关习题

科目:初中数学 来源:2017届河北省毕业生升学文化课模拟考试数学试卷(解析版) 题型:单选题

已知三角形的两边长是4和6,第三边的长是方程的根,则此三角形的周长为( )

A. 10 B. 12 C. 14 D. 12或14

查看答案和解析>>

科目:初中数学 来源:2016-2017学年浙江省七年级3月月考数学试卷(解析版) 题型:解答题

已知关于的二元一次方程组

(1)若的值互为相反数,求的值;

(2)若2+35=0,解这个方程组.

查看答案和解析>>

科目:初中数学 来源:2016-2017学年浙江省七年级3月月考数学试卷(解析版) 题型:单选题

小亮的妈妈用28元钱买了甲、乙两种水果,甲种水果每千克4元,乙种水果每千克6元,且乙种水果比甲种水果少买了2千克,求小亮妈妈两种水果各买了多少千克?设小亮妈妈买了甲种水果x千克,乙种水果y千克,则可列方程组为( )

A. B. C. D.

查看答案和解析>>

科目:初中数学 来源:2016-2017学年浙江省七年级3月月考数学试卷(解析版) 题型:单选题

如图,将三角板的直角顶点放在直尺的一边上,若∠1=65°,则∠2的度数为( )

A. 10° B. 15° C. 20° D. 25°

查看答案和解析>>

科目:初中数学 来源:2016-2017学年广东省高州市八年级上学期期中考试数学试卷(B卷)(解析版) 题型:解答题

化简:(8分)

(1) ; (2) ; (3) ; (4)

查看答案和解析>>

科目:初中数学 来源:2016-2017学年广东省高州市八年级上学期期中考试数学试卷(B卷)(解析版) 题型:单选题

在平面直角坐标系中,点P(-2,1)在第( )象限

A. 第一象限 B. 第二象限 C. 第三象限 D. 第四象限

查看答案和解析>>

科目:初中数学 来源:2017届广东省高州市九年级上学期期中考试数学试卷(A卷)(解析版) 题型:解答题

(10分)有甲、乙两个不透明的盒子,甲盒子中装有3张卡片,卡片上分别写着3、7、9;乙盒子中装有4张卡片,卡片上分别写着2、4、6、8;盒子外有一张写着5的卡片.所有卡片的形状、大小都完全相同.现随机从甲、乙两个盒子中各取出一张卡片,与盒子外的卡片放在一起,用卡片上标明的数量分别作为一条线段的长度.

(1)请用树状图或列表的方法求这三条线段能组成三角形的概率;

(2)求这三条线段能组成直角三角形的概率.

查看答案和解析>>

科目:初中数学 来源:2017届山东省菏泽市九年级3月月考数学试卷(解析版) 题型:单选题

如图,数轴上A,B,C,D四点中,与数-表示的点最接近的是( )

A. 点A B. 点B C. 点C D. 点D

查看答案和解析>>

同步练习册答案