精英家教网 > 初中数学 > 题目详情

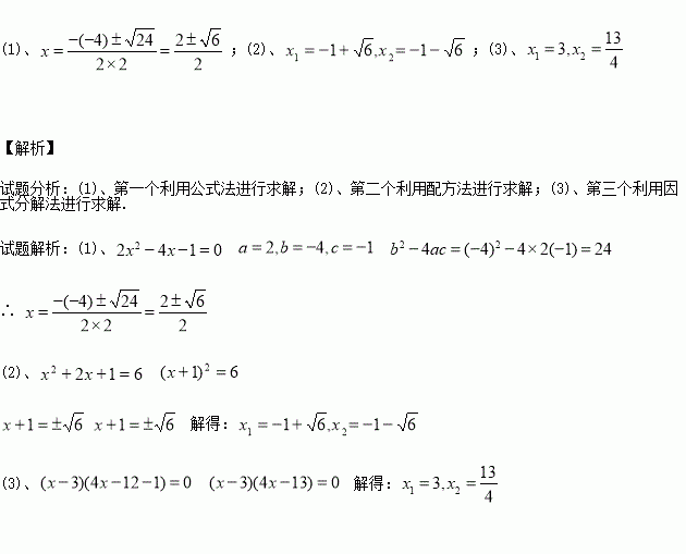
解下列方程

(1) (2) (3)

练习册系列答案
相关习题

科目:初中数学 来源:2016-2017学年山东东营市八年级上期中数学试卷(解析版) 题型:选择题

若(x﹣5)(x+3)=+mx﹣15,则( ).

A.m=8 B.m=﹣8 C.m=2 D.m=﹣2

查看答案和解析>>

科目:初中数学 来源:2016-2017学年天津河西区八年级上期中模拟数学试卷(解析版) 题型:解答题

如图,∠AOB=30°,OA表示草地边,OB表示河边,点P表示家且在∠AOB内.某人要从家里出发先到草地边给马喂草,然后到河边喂水,最后回到家里.

(1)请用尺规在图上画出此人行走的最短路线图(保留作图痕迹,不写作法和理由).

(2)若OP=30米,求此人行走的最短路线的长度.

查看答案和解析>>

科目:初中数学 来源:2016-2017学年天津河西区八年级上期中模拟数学试卷(解析版) 题型:选择题

等腰三角形的一个角是80°,则它的顶角的度数是( )

A.30° B.80°或20° C.80°或50° D.20°

查看答案和解析>>

科目:初中数学 来源:2017届江苏大丰区第一共同体九年级上期中考试数学试卷(解析版) 题型:解答题

如图,AB为⊙O的直径,点C在⊙O上,延长BC至点D,使DC=CB,延长DA与⊙O的另一个交点为E,连结AC,CE。

(1)求证:∠B=∠D;

(2)若AB= ,BC-AC=2,求CE的长。

查看答案和解析>>

科目:初中数学 来源:2017届江苏大丰区第一共同体九年级上期中考试数学试卷(解析版) 题型:选择题

有两个实数根满足的一元二次方程是( )

A. B.

C. D.

查看答案和解析>>

科目:初中数学 来源:2017届江苏大丰区第一共同体九年级上期中考试数学试卷(解析版) 题型:填空题

三角形的两边长分别为3和6,第三边的长是方程x2-6x+8=0的一个根,则这个三角形的周长是_______.

查看答案和解析>>

科目:初中数学 来源:2016-2017学年江苏无锡江阴市青阳片初二上期中数学卷(解析版) 题型:填空题

(1)如果等腰三角形两边长是6和3,那么它的周长是

(2)已知等腰三角形的一个外角等于100°,则它的顶角度数为

查看答案和解析>>

科目:初中数学 来源:2016-2017学年江苏扬州江都区宜陵中学初二上期中数学卷(解析版) 题型:解答题

(1)如图(1),在△ABC中,AB>AC>BC,∠ACB=80°,点D、E分别在线段BA、AB的延长线上,且AD=AC,BE=BC,则∠DCE=

(2)如图(2),在△ABC中,AB>AC>BC,∠ACB=80°,点D、E分别在边AB上,且AD=AC,BE=BC,求∠DCE的度数;

(3)在△ABC中,AB>AC>BC,∠ACB=80°,点D、E分别在直线AB上,且AD=AC,BE=BC,则∠求DCE的度数(直接写出答案);

(4)如图(3),在△ABC中,AB=14,AC=15,BC=13,点D、E在直线AB上,且AD=AC,BE=BC.请根据题意把图形补画完整,并在图形的下方直接写出△DCE的面积.(如果有多种情况,图形不够用请自己画出,各种情况用一个图形单独表示).

查看答案和解析>>

同步练习册答案