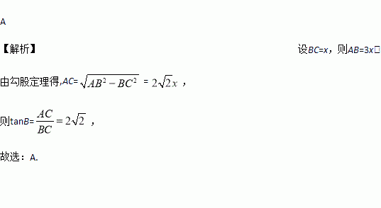
精英家教网 > 初中数学 > 题目详情

在Rt△ABC中,∠C=90°,若斜边AB是直角边BC的3倍,则tanB的值是( )

A. 2 B. 3 C. D.

练习册系列答案
相关习题

科目:初中数学 来源:福建省2016-2017学年七年级(下)期末模拟数学试卷 题型:单选题

如图,AB∥CD,若∠2=135°,则∠1的度数是(  )

A. 30° B. 45° C. 60° D. 75°

查看答案和解析>>

科目:初中数学 来源:【全国区级联考】江西省广丰区2017届初三中考模拟(一)数学试卷 题型:解答题

应用无刻度的直尺画图:

在下面的三个图中,以OA为边,在正方形网格内作∠AOB=α,B点为格点(每个小正方形的顶点)使sinα的值分别为:

查看答案和解析>>

科目:初中数学 来源:河南省郑州市2017年九年级中考模拟数学试卷(一) 题型:解答题

给出如下定义:若一个四边形中存在相邻两边的平方和等于一条对角线的平方,则称该四边形为勾股四边形.

(1)以下四边形中,是勾股四边形的为 .(填写序号即可)

①矩形;②有一个角为直角的任意凸四边形;③有一个角为60°的菱形.

(2)如图,将△ABC绕顶点B按顺时针方向旋转60°得到△DBE,∠DCB=30°,连接AD,DC,CE.

①求证:△BCE是等边三角形;

②求证:四边形ABCD是勾股四边形.

查看答案和解析>>

科目:初中数学 来源:河南省郑州市2017年九年级中考模拟数学试卷(一) 题型:填空题

已知二次函数y=ax2+bx+c(a≠0)的图象经过A(0,3),B(2,3)两点.请你写出一组满足条件的a,b的对应值.a=____,b=______.

查看答案和解析>>

科目:初中数学 来源:河南省郑州市2017年九年级中考模拟数学试卷(一) 题型:单选题

不等式组的解集在数轴上表示正确的是( )

A. B.

C. D.

查看答案和解析>>

科目:初中数学 来源:陕西省延安市大学区校际联盟2016-2017学年八年级下学期期中考试数学试卷(B) 题型:解答题

如图,四边形ABCD是菱形,对角线AC=8cm,BD=6cm,DH⊥AB于H,求DH的长。

查看答案和解析>>

科目:初中数学 来源:陕西省延安市大学区校际联盟2016-2017学年八年级下学期期中考试数学试卷(B) 题型:单选题

如图,在△ABC中, ∠A=  30°∠C=90°,若BC=10,则AB的长度为(     )

 

A. 5 B. C. 20 D. 8

查看答案和解析>>

科目:初中数学 来源:辽宁省大石桥市水源镇九年一贯制学校2016-2017学年七年级下学期期中考试数学试卷 题型:填空题

4xa+2b﹣5﹣2y3a﹣b﹣3=8是二元一次方程,那么a﹣b=

查看答案和解析>>

同步练习册答案