精英家教网 > 初中数学 > 题目详情

问题探究:

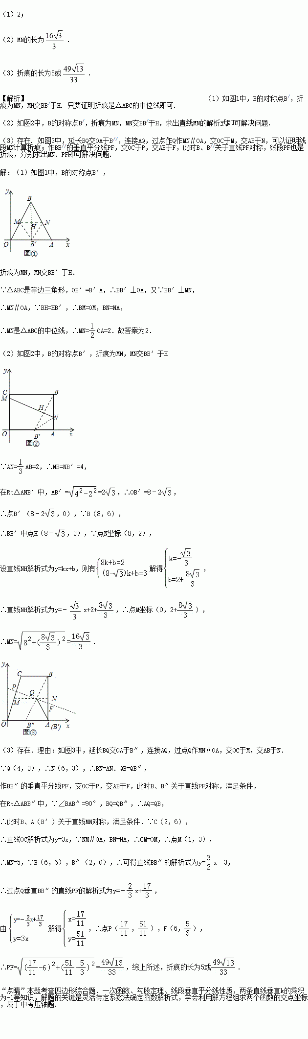
(1)如图①,边长为4的等边△OAB位于平面直角坐标系中,将△OAB折叠,使点B落在OA的中点处,则折痕长为  

(2)如图②,矩形OABC位于平面直角坐标系中,其中OA=8,AB=6,将矩形沿线段MN折叠,点B落在x轴上,其中AN=AB,求折痕MN的长;

问题解决:

(3)如图③,四边形OABC位于平面直角坐标系中,其中OA=AB=6,CB=4,BC∥OA,AB⊥OA于点A,点Q(4,3)为四边形内部一点,将四边形折叠,使点B落在x轴上,问是否存在过点Q的折痕,若存在,求出折痕长,若不存在,请说明理由.

练习册系列答案
相关习题

科目:初中数学 来源:山东省2017届数学学业水平考试模拟试卷 题型:解答题

如图,AB是半圆的直径,点O是圆心,点C是OA的中点,CD⊥OA交半圆于点D,点E是的中点,连接AE、OD,过点D作DP∥AE交BA的延长线于点P.

(1)求∠AOD的度数;

(2)求证:PD是半圆O的切线.

查看答案和解析>>

科目:初中数学 来源:安徽省蚌埠市2016-2017学年八年级下学期期中考试数学试卷 题型:单选题

一元二次方程2x2-2x+3=0根的情况是(  )

A. 有两个不相等的实数根 B. 有两个相等的实数根

C. 只有一个实数根 D. 没有实数根

查看答案和解析>>

科目:初中数学 来源:【全国校级联考】四川省渠县九校2017届九年级下学期第二次联合模拟数学试卷 题型:填空题

分解因: =______________________.

查看答案和解析>>

科目:初中数学 来源:【全国校级联考】四川省渠县九校2017届九年级下学期第二次联合模拟数学试卷 题型:单选题

如图,AB∥CD,CB平分∠ABD,若∠C=40°,则∠D的度数为( ).

A. 90° B. 100° C. 110° D. 120°

查看答案和解析>>

科目:初中数学 来源:【全国区级联考】陕西省宝鸡市渭滨区2017届九年级4月质量检测试卷(一)数学试卷 题型:解答题

如图,一棵大树在一次强台风中折断倒下,未折断树杆AB与地面仍保持垂直的关系,而折断部分AC与未折断树杆AB形成53°的夹角.树杆AB旁有一座与地面垂直的铁塔DE,测得BE=6米,塔高DE=9米.在某一时刻的太阳照射下,未折断树杆AB落在地面的影子FB长为4米,且点F、B、C、E在同一条直线上,点F、A、D也在同一条直线上.求这棵大树没有折断前的高度.(参考数据:sin53°≈0.8,cos53°≈0.6,tan53°≈1.33)

查看答案和解析>>

科目:初中数学 来源:【全国区级联考】陕西省宝鸡市渭滨区2017届九年级4月质量检测试卷(一)数学试卷 题型:填空题

如图,已知双曲线y=(k>0)经过Rt△OAB的直角边AB的中点C,与斜边OB相交于点D,若OD=1,则BD=___.

查看答案和解析>>

科目:初中数学 来源:江苏省2017届九年级下学期质量调研考试数学试卷 题型:解答题

我市在高架快速公路施工期间,交管部门在施工路段设立了矩形路况警示牌BCEF(如图所示),已知立杆AB的高度是3米,从侧面D点测到路况警示牌顶端C点和底端B点的仰角分别是60°和45°,求路况警示牌宽BC的值(结果保留根号).

查看答案和解析>>

科目:初中数学 来源:【全国区级联考】江苏省盐城市大丰区2017届九年级第二次质量检测(二模)数学试卷 题型:填空题

在函数y=中,自变量x的取值范围是_________

查看答案和解析>>

同步练习册答案