精英家教网 > 初中数学 > 题目详情

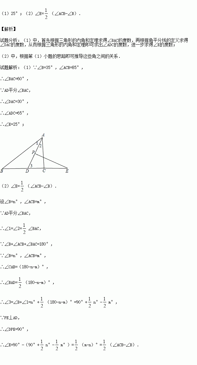
如图,在△ABC中,AD平分∠BAC,P为线段AD上的一个动点,PE⊥AD交直线BC于点E.

(1)若∠B=35°,∠ACB=85°,求∠E的度数;

(2)当P点在线段AD上运动时,猜想∠E与∠B、∠ACB的数量关系,写出结论无需证明.

练习册系列答案
相关习题

科目:初中数学 来源:2015-2016学年江苏省无锡市长泾片八年级下学期期中考试数学试卷(解析版) 题型:填空题

如图,在□ABCD中,BD为对角线,E、F分别是AD、BD的中点,连结EF.若EF=3,则CD的长为 .

查看答案和解析>>

科目:初中数学 来源:2015-2016学年江苏省苏州工业园区七年级上学期期末考试数学试卷(解析版) 题型:解答题

如图:已知A、B、C是数轴上的三点,点C表示的数是6,BC=4,AB=12,

(1)写出数轴上A、B两点表示的数;

(2)动点P、Q分别从A、C同时出发,点P以每秒2个单位长度的速度沿数轴向右匀速运动,点Q以每秒1个单位长度的速度沿数轴向左匀速运动,设运动时间为t(t>0)秒,t为何值时,原点O、与P、Q三点中,有一点恰好是另两点所连线段的中点.

查看答案和解析>>

科目:初中数学 来源:2015-2016学年江苏省苏州工业园区七年级上学期期末考试数学试卷(解析版) 题型:选择题

钟面角是指时钟的时针与分针所成的角,如果时间从下午2点整到下午4点整,钟面角为90°的情况有( )

A.有一种 B.有二种 C. 有三种 D.有四种

查看答案和解析>>

科目:初中数学 来源:2015-2016学年江苏省苏州工业园区七年级上学期期末考试数学试卷(解析版) 题型:选择题

如果,则下列变形中正确的是( )

A. ; B. ; C.; D.

查看答案和解析>>

科目:初中数学 来源:2015-2016学年江苏省江阴市马镇七年级下第一次月考数学试卷(解析版) 题型:解答题

计算:(1)

(2)

(3)

(4)

查看答案和解析>>

科目:初中数学 来源:2015-2016学年江苏省江阴市马镇七年级下第一次月考数学试卷(解析版) 题型:填空题

若ax=3,则a3x=_______;若3m=5,3n=2,则3m+2n=_____ __.

查看答案和解析>>

科目:初中数学 来源:2015-2016学年江苏省江阴市马镇八年级下第一次月考数学试卷(解析版) 题型:解答题

一个不透明的袋中装有黄球、黑球和红球共40个,它们除颜色外都相同,其中红球有22个,且经过试验发现摸出一个球为黄球的频率接近0.125 。

⑴求袋中有多少个黑球;

⑵现从袋中取出若干个黑球,并放入相同数量的黄球,搅拌均匀后使从袋中摸出一个球是黄球的概率达到,问至少取出了多少个黑球?

查看答案和解析>>

科目:初中数学 来源:2015-2016学年江苏省江阴市八年级下第一次月考数学试卷(解析版) 题型:选择题

若分式中,x、y的值都扩大3倍,则原分式的值( )

A.扩大3倍 B.缩小3倍 C.不变 D.无法确定

查看答案和解析>>

同步练习册答案