精英家教网 > 初中数学 > 题目详情

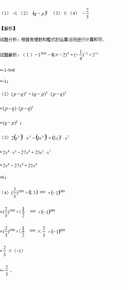
计算:(1)

(2)

(3)

(4)

练习册系列答案
相关习题

科目:初中数学 来源:2015-2016学年江苏省无锡市长泾片八年级下学期期中考试数学试卷(解析版) 题型:选择题

已知:如图,在正方形ABCD外取一点E,连接AE、BE、DE.过点A作AE的垂线交DE于点P.若AE=AP=1,PB=.下列结论:①△APD≌△AEB;②点B到直线AE的距离为;③EB⊥ED;④S△APD+S△APB=1+;⑤S正方形ABCD=4+.其中正确结论的序号是( )

A.①③④ B.①②⑤ C.③④⑤ D.①③⑤

查看答案和解析>>

科目:初中数学 来源:2015-2016学年江苏省苏州工业园区七年级上学期期末考试数学试卷(解析版) 题型:解答题

用五个小正方体搭成如图的几何体,请画出它的三视图。

查看答案和解析>>

科目:初中数学 来源:2015-2016学年江苏省苏州工业园区七年级上学期期末考试数学试卷(解析版) 题型:选择题

已知代数式x+2y的值是3,则代数式2x+4y+1的值是( )

A. 1 B. 4 C. 7 D. 不能确定

查看答案和解析>>

科目:初中数学 来源:2015-2016学年江苏省江阴市马镇七年级下第一次月考数学试卷(解析版) 题型:计算题

如图,在△ABC中,AD平分∠BAC,P为线段AD上的一个动点,PE⊥AD交直线BC于点E.

(1)若∠B=35°,∠ACB=85°,求∠E的度数;

(2)当P点在线段AD上运动时,猜想∠E与∠B、∠ACB的数量关系,写出结论无需证明.

查看答案和解析>>

科目:初中数学 来源:2015-2016学年江苏省江阴市马镇七年级下第一次月考数学试卷(解析版) 题型:填空题

从一个多边形的一个顶点出发一共可作5条对角线,则这个多边形的内角和为__ ____°.

查看答案和解析>>

科目:初中数学 来源:2015-2016学年江苏省江阴市马镇七年级下第一次月考数学试卷(解析版) 题型:选择题

将一个直角三角板和一把直尺如图放置,如果∠α=47°,则∠β的度数是( )

A. 43° B. 47° C. 30° D. 60°

查看答案和解析>>

科目:初中数学 来源:2015-2016学年江苏省江阴市马镇八年级下第一次月考数学试卷(解析版) 题型:填空题

如图,在□ABCD中,AB=4cm,AD=7cm,∠ABC的平分线交AD于点E,交CD的延长线于点F,则DF=______cm。

查看答案和解析>>

科目:初中数学 来源:2015-2016学年江苏省江阴市七年级下3月月考数学试卷(解析版) 题型:解答题

如图,∠ABD和∠BDC的平分线交于点E,BE的延长线交CD于点F,且∠1 +∠2 = 90°.猜想∠2 与∠3的关系并证明.

查看答案和解析>>

同步练习册答案