精英家教网 > 初中数学 > 题目详情

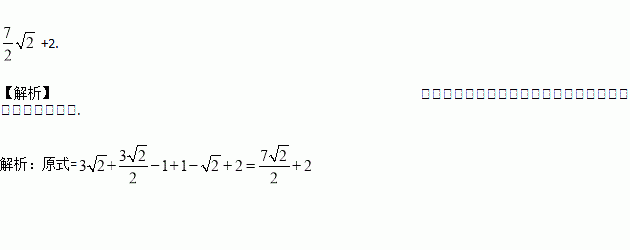
计算:

练习册系列答案
相关习题

科目:初中数学 来源:2017届福建省中考模拟数学试卷(解析版) 题型:填空题

关于x的一元二次方程ax2+2x+1=0有两个不相等的实数根,则实数a的取值范围是__.

查看答案和解析>>

科目:初中数学 来源:2017届辽宁省铁岭市九年级上学期期末考试数学试卷(解析版) 题型:解答题

如图,△ABC中,AB=AC,以边AB为直径作⊙O,交BC于点D,过D作DE⊥AC于点E.

(1)求证:DE为⊙O的切线;

(2)若AB=13,sinB=,求DE的长.

查看答案和解析>>

科目:初中数学 来源:2017届辽宁省铁岭市九年级上学期期末考试数学试卷(解析版) 题型:单选题

如图,⊙O是△ABC的外接圆,⊙O的半径为3,∠A=45°,则弧BC的长是( )

A. π B. π C. π D. π

查看答案和解析>>

科目:初中数学 来源:2016-2017学年重庆市、李市中学、白沙中学八年级下学期期中联考数学试卷(解析版) 题型:解答题

如图,已知菱形ABCD的对角线相交于点O,延长AB至点E,使BE=AB,连接CE.

(1)求证:BD=EC;

(2)若∠E=50°,求∠BAO的大小.

查看答案和解析>>

科目:初中数学 来源:2016-2017学年重庆市、李市中学、白沙中学八年级下学期期中联考数学试卷(解析版) 题型:填空题

一直角三角形的两边长分别是3和5,则第三边为________________.

查看答案和解析>>

科目:初中数学 来源:2016-2017学年重庆市、李市中学、白沙中学八年级下学期期中联考数学试卷(解析版) 题型:单选题

已知函数y=(a﹣1)x的图象过一、三象限,那么a的取值范围是(  )

A. a>1 B. a<1 C. a>0 D. a<0

查看答案和解析>>

科目:初中数学 来源:2016-2017学年浙江省杭州市萧山区戴村片八年级下学期期中考试数学试卷(解析版) 题型:填空题

一个多边形的每一个内角都是140°,则这个多边形是 边形.

查看答案和解析>>

科目:初中数学 来源:2016-2017学年江苏省宜兴市宜城环科园教学联盟八年级下学期期中考试数学试卷(解析版) 题型:填空题

如图,□ABCD的对角线相交于点O,BC=7,BD=10,AC=6,则△AOD的周长是___________.

查看答案和解析>>

同步练习册答案