精英家教网 > 初中数学 > 题目详情

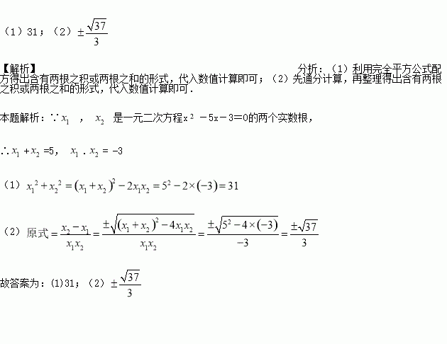
已知x1,x2是一元二次方程x2-5x-3=0的两个根,求:

(1)

(2)

练习册系列答案
相关习题

科目:初中数学 来源:2016-2017学年山东省临沂市蒙阴县七年级下学期期中考试数学试卷(解析版) 题型:单选题

若将点A(1,3)向左平移2个单位,再向下平移4个单位得到点B,则点B的坐标为(  )

A. (﹣1,0) B. (﹣1,﹣1) C. (﹣2,0) D. (﹣2,﹣1)

查看答案和解析>>

科目:初中数学 来源:2016-2017学年山东省济南市槐荫区八年级下学期期中考试数学试卷(解析版) 题型:解答题

已知:如图,在△ABC中,∠B=90°,AB=5cm,BC=7cm.点P从点A开始沿AB边向点B以1cm/s的速度移动,同时点Q从点B开始沿BC边向点C以2cm/s的速度移动.当一个点到达终点时另一点也随之停止运动,设运动时间为x秒,

(1)求几秒后,△PBQ的面积等于6cm2?

(2)求几秒后,PQ的长度等于5cm?

(3)运动过程中,△PQB的面积能否等于8cm2?说明理由.

查看答案和解析>>

科目:初中数学 来源:2016-2017学年山东省济南市槐荫区八年级下学期期中考试数学试卷(解析版) 题型:单选题

如图,平行四边形ABCD的周长是26cm,对角线AC与BD交于点O,AC⊥AB,E是BC中点,△AOD的周长比△AOB的周长多3cm,则AE的长度为(  )

A. 3cm B. 4cm C. 5cm D. 8cm

查看答案和解析>>

科目:初中数学 来源:2016-2017学年山东省济南市槐荫区八年级下学期期中考试数学试卷(解析版) 题型:选择题

如图,跷跷板AB的支柱OD经过它的中点O,且垂直与地面BC,垂足为D,OD=50cm,当它的一端B着地时,另一端A离地面的高度AC为( )

A.25cm B.50cm C.75cm D.100cm

查看答案和解析>>

科目:初中数学 来源:2016-2017学年安徽省蚌埠市等五校八年级下学期期中考试数学试卷(解析版) 题型:填空题

已知x<2,则

查看答案和解析>>

科目:初中数学 来源:2016-2017学年安徽省蚌埠市等五校八年级下学期期中考试数学试卷(解析版) 题型:单选题

已知α、β满足α+β=5,αβ=6,则以α、β为根的一元二次方程( )

A. x2+5x+6=0 B. x2-5x+6=0

C. x2-5x-6=0 D. x2+5x-6=0

查看答案和解析>>

科目:初中数学 来源:2016-2017学年江苏连云港新海实验中学度第二学期九年级中考第一次模拟数学试卷(解析版) 题型:填空题

如图,将一张矩形纸片经过折叠得到一个三角形,则矩形的长与宽的比是________

查看答案和解析>>

科目:初中数学 来源:2016-2017学年山东省八年级下学期期中考试数学试卷(解析版) 题型:单选题

二次根式有意义,则的取值范围是 ( )

A. B. C. D.

查看答案和解析>>

同步练习册答案