精英家教网 > 初中数学 > 题目详情

如图,将一张矩形纸片经过折叠得到一个三角形,则矩形的长与宽的比是________

练习册系列答案
相关习题

科目:初中数学 来源:2017届河北省中考模拟数学试卷(4)(解析版) 题型:单选题

已知点A(﹣1,m),B(1,m),C(2,m+1)在同一个函数图象上,这个函数图象可以是(  )

A. B. C. D.

查看答案和解析>>

科目:初中数学 来源:2016-2017学年安徽省蚌埠市等五校八年级下学期期中考试数学试卷(解析版) 题型:解答题

已知x1,x2是一元二次方程x2-5x-3=0的两个根,求:

(1)

(2)

查看答案和解析>>

科目:初中数学 来源:2016-2017学年安徽省蚌埠市等五校八年级下学期期中考试数学试卷(解析版) 题型:单选题

下列式子中,属于最简二次根式的是( )

A. B. C. D.

查看答案和解析>>

科目:初中数学 来源:2016-2017学年江苏连云港新海实验中学度第二学期九年级中考第一次模拟数学试卷(解析版) 题型:解答题

某商场为了吸引顾客,设计了一种促销活动:在一个不透明的箱子里放有4个相同的小球,球上分别标有“0元”、“10元”、“20元”和“30元”的字样.规定:顾客在本商场同一日内,每消费满200元,就可以在箱子里先后摸出两个球(第一次摸出后不放回),商场根据两小球所标金额的和返还相应价格购物券,可以重新在本商场消费,某顾客刚好消费200元.

(1)该顾客至少可得到_____元购物券,至多可得到_______元购物券;

(2)请你用画树状图或列表的方法,求出该顾客所获得购物券的金额不低于30元的概率.

查看答案和解析>>

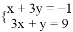
科目:初中数学 来源:2016-2017学年江苏连云港新海实验中学度第二学期九年级中考第一次模拟数学试卷(解析版) 题型:填空题

已知方程组,则x+y=_____.

查看答案和解析>>

科目:初中数学 来源:2016-2017学年江苏连云港新海实验中学度第二学期九年级中考第一次模拟数学试卷(解析版) 题型:单选题

一次数学测试,某小组五名同学的成绩如下表(有两个数据被遮盖):

那么被遮盖的两个数据依次是( )

A. 80、2 B. 80、 C. 78、2 D. 78、

查看答案和解析>>

科目:初中数学 来源:2016-2017学年山东省八年级下学期期中考试数学试卷(解析版) 题型:单选题

菱形ABCD的对角线AC,BD相交于点O,E,F分别是AD,CD边上的中点,连接EF.若EF=,BD=2,则菱形ABCD的面积为(  )

A. 2 B. C. 6 D. 8

查看答案和解析>>

科目:初中数学 来源:2016-2017学年山东省七年级下学期期中考试数学试卷(解析版) 题型:解答题

已知:如图,AD∥BE,∠1=∠2,求证:∠A=∠E.

查看答案和解析>>

同步练习册答案