精英家教网 > 初中数学 > 题目详情

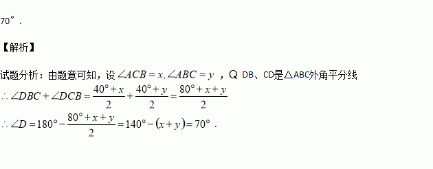
如图,在△ABC中,ABC和ACB的外角平分线交于D,A=400,那么D=_ _____.

练习册系列答案
相关习题

科目:初中数学 来源:2014-2015学年广西南宁市八年级上学期期中检测数学试卷(解析版) 题型:选择题

下列能组成三角形的线段是( )

A. 3cm、2cm、6cm B.4cm、3cm、5cm

C. 2cm、4cm、6cm D.3cm、6cm、9cm

查看答案和解析>>

科目:初中数学 来源:2016届湖南省郴州市九年级上学期期末考试数学试卷(解析版) 题型:填空题

关于x的方程(m-3) -3x-4=0是一元二次方程,则m=

查看答案和解析>>

科目:初中数学 来源:2015-2016学年江苏省丹阳市七年级下第一次段测数学试卷(解析版) 题型:解答题

如图,在△ABC中,AD是高,AE是角平分线,∠B=20º,∠C=60º。求∠EAD的度数.

查看答案和解析>>

科目:初中数学 来源:2015-2016学年江苏省丹阳市七年级下第一次段测数学试卷(解析版) 题型:选择题

,则等于( )

A.1 B. C. D.

查看答案和解析>>

科目:初中数学 来源:2015-2016学年江苏省丹阳市七年级下第一次段测数学试卷(解析版) 题型:填空题

,,这三个数从小到大的顺序排为

查看答案和解析>>

科目:初中数学 来源:2016届北大附中河南分校九年级3月月考数学试卷(解析版) 题型:解答题

如图,二次函数的图象与x轴交于A(3,0),B(﹣1,0)两点,与y轴相交于点C(0,﹣4).

(1)求该二次函数的解析;

(2)若点P、Q同时从A点出发,以每秒1个单位长度的速度分别沿AB、AC边运动,其中一点到达端点时,另一点也随之停止运动.

①当点P运动到B点时,在x轴上是否存在点E,使得以A、E、Q为顶点的三角形为等腰三角形?若存在,请求出E点的坐标;若不存在,请说明理由.

②当P、Q运动到t秒时,△APQ沿PQ翻折,点A恰好落在抛物线上D点处,请直接写出t的值及D点的坐标.

查看答案和解析>>

科目:初中数学 来源:2016届北大附中河南分校九年级3月月考数学试卷(解析版) 题型:选择题

一个不透明的袋子中装有5个黑球和3个白球,这些球的大小、质地完全相同,随机从袋子中摸出4个球,则下列事件是必然事件的是( )

A.摸出的四个球中至少有一个球是白球

B.摸出的四个球中至少有一个球是黑球

C.摸出的四个球中至少有两个球是黑球

D.摸出的四个球中至少有两个球是白球

查看答案和解析>>

科目:初中数学 来源:2015-2016学年湖北省孝感市八年级3月月考数学试卷(解析版) 题型:填空题

已知 为等边三角形, 为中线,延长 ,使 ,连接 ,则

查看答案和解析>>

同步练习册答案