精英家教网 > 初中数学 > 题目详情

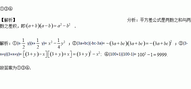
在下列代数式: ①(x-y)(x+y), ②(3a+bc)(-bc-3a), ③(3-x+y)(3+x+y), ④(100+1)(100-1)中能用平方差公式计算的是________________(填序号)

练习册系列答案
相关习题

科目:初中数学 来源:2016-2017学年江苏省靖江市七年级下学期期中考试数学试卷(解析版) 题型:单选题

(x2-px+3)(x-2)的乘积中不含x2项,则()

A. p=2 B. p=±2 C. p=-2 D. 无法确定

查看答案和解析>>

科目:初中数学 来源:2016-2017学年江苏省宜兴外国语学校八年级上学期期中考试数学试卷(解析版) 题型:填空题

我国古代数学中有一道数学题:如图,有一棵枯树直立在地上,树高20尺,粗3尺,有一根藤条从树根处缠绕而上,缠绕5周到达树顶,则这条树藤有________尺.(注:枯树可以看成圆柱;树粗3尺,指的是圆柱底面周长为3尺)

查看答案和解析>>

科目:初中数学 来源:2016-2017学年江苏省无锡市锡北片七年级下学期期中考试数学试卷(解析版) 题型:解答题

长江汛期即将来临,防汛指挥部在一危险地带两岸各安置了一探照灯,便于夜间查看江水及两岸河堤的情况.如图,灯A射线自AM顺时针旋转至AN便立即回转,灯B射线自BP顺时针旋转至BQ便立即回转,两灯不停交叉照射巡视.若灯A转动的速度是a°/秒,灯B转动的速度是b°/秒,且a、b满足|a﹣3b|+(a+b﹣4)2=0.假定这一带长江两岸河堤是平行的,即PQ∥MN,且∠BAN=45°

(1)求a、b的值;

(2)若灯B射线先转动20秒,灯A射线才开始转动,在灯B射线到达BQ之前,A灯转动几秒,两灯的光束互相平行?

(3)如图,两灯同时转动,在灯A射线到达AN之前.若射出的光束交于点C,过C作CD⊥AC交PQ于点D,则在转动过程中,=

查看答案和解析>>

科目:初中数学 来源:2016-2017学年江苏省无锡市锡北片七年级下学期期中考试数学试卷(解析版) 题型:解答题

计算(1);(2)(﹣a2)3+(﹣a3)2﹣a2•a3

查看答案和解析>>

科目:初中数学 来源:2016-2017学年江苏省无锡市锡北片七年级下学期期中考试数学试卷(解析版) 题型:单选题

关于x,y的方程组的解是,其中y的值被盖住了,不过仍能求出p,则p的值是( )

A. - B. C. - D.

查看答案和解析>>

科目:初中数学 来源:2016-2017学年江苏省无锡市锡北片七年级下学期期中考试数学试卷(解析版) 题型:单选题

下列各组长度的3条线段,不能构成三角形的是( )

A. 3cm. 5cm. 7cm B. 5cm. 4cm 9cm C. 4cm. 6cm. 9cm D. 2cm 3cm 4cm

查看答案和解析>>

科目:初中数学 来源:2017届河南省周口市招第二次模拟考试数学试卷(解析版) 题型:单选题

从2,2,3,4四个数中随机取两个数,第一个作为个位上的数字,第二个作为十位上的数字,组成一个两位数,则这个两位数是2的倍数的概率是 ( )

A. 1 B. C. D.

查看答案和解析>>

科目:初中数学 来源:2017届辽宁省盘锦市九年级下学期期初考试数学试卷(解析版) 题型:填空题

已知一个圆锥的母线长为10cm,将侧面展开后所得扇形的圆心角是144°,则这圆锥的底面圆的半径是__ __cm.

查看答案和解析>>

同步练习册答案