精英家教网 > 初中数学 > 题目详情

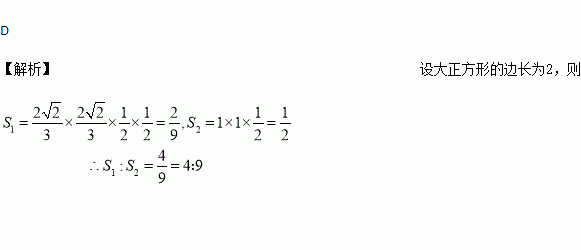
有3个正方形如图所示放置,阴影部分的面积依次记为S,S,则S:S等于( )

A. 1: ( B. 1:2 C. 2:3 D. 4:9

练习册系列答案
相关习题

科目:初中数学 来源:2016-2017学年江苏省无锡市七年级3月月考数学试卷(解析版) 题型:选择题

在△ABC中,画出边AC上的高,下面4幅图中画法正确的是( )

A. B.

C. D.

查看答案和解析>>

科目:初中数学 来源:2016-2017学年山东省济南市槐荫区七年级下学期期中考试数学试卷(解析版) 题型:解答题

列二元一次方程组解应用题。

某工厂去年的总收入比总支出多50万元,今年的总收入比去年增加10%,总支出节约20%,因而总收入比总支出多100万元.求去年的总收入和总支出.

查看答案和解析>>

科目:初中数学 来源:2016-2017学年山东省济南市槐荫区七年级下学期期中考试数学试卷(解析版) 题型:单选题

下列计算中,运算正确的是(  )

A. (a﹣b)(a﹣b)=a2﹣b2 B. (x+2)(x﹣2)=x2﹣2

C. (2x+1)(2x﹣1)=2x2﹣1 D. (﹣3x+2)(﹣3x﹣2)=9x2﹣4

查看答案和解析>>

科目:初中数学 来源:2017届江西省南昌市,27中等校九年级3月联考数学试卷(解析版) 题型:解答题

如图a,ABCD是一矩形纸片,AB=6cm,AD=8cm,E是AD上一点,且AE=6cm。操作:(1)将AB向AE折过去,使AB与AE重合,得折痕AF,如图b;(2)将△AFB以BF为折痕向右折过去,得图c。则△GFC的面积是_____________

查看答案和解析>>

科目:初中数学 来源:2017届江西省南昌市,27中等校九年级3月联考数学试卷(解析版) 题型:单选题

计算:23=(  )

A. 5 B. 6 C. 8 D. 9

查看答案和解析>>

科目:初中数学 来源:2017届福建省中考模拟数学试卷(解析版) 题型:解答题

计算:(﹣1)×(﹣3)+20+15÷(﹣5)

查看答案和解析>>

科目:初中数学 来源:2016-2017学年江苏省苏州市七年级下学期期中考试数学试卷(解析版) 题型:解答题

如图①,△ABC的角平分线BD,CE相交于点P.

(1)如果∠A=80?,求∠BPC= .

(2)如图②,过点P作直线MN∥BC,分别交AB和AC于点M和N,试求∠MPB+∠NPC的度数(用含∠A的代数式表示) .

(3)将直线MN绕点P旋转。

(i)当直线MN与AB,AC的交点仍分别在线段AB和AC上时,如图③,试探索∠MPB,∠NPC,∠A三者之间的数量关系,并说明你的理由。

(ii)当直线MN与AB的交点仍在线段AB上,而与AC的交点在AC的延长线上时,如图④,试问(i)中∠MPB,∠NPC,∠A三者之间的数量关系是否仍然成立?若成立,请说明你的理由;若不成立,请给出∠MPB,∠NPC,∠A三者之间的数量关系,并说明你的理由。

查看答案和解析>>

科目:初中数学 来源:2017届辽宁省铁岭市九年级上学期期末考试数学试卷(解析版) 题型:解答题

如图,某小区有一块长为30m,宽为24m的矩形空地,计划在其中修建两块相同的矩形绿地,它们的面积之和为480m²。两块绿地之间及周边有宽度相等的人行通道,则人行通道的宽度为_________m.

查看答案和解析>>

同步练习册答案