【题目】某单位欲从内部招聘管理人员一名,对甲、乙、丙三名候选人进行了笔试和面试两项测试,三人的测试成绩如下表所示:
根据录用程序,组织200名职工对三人利用投票推荐的方式进行民主评议,三人得票率(没有弃权票,每位职工只能推荐1人)如上图所示,每得一票记作1分.
(l)请算出三人的民主评议得分;
(2)如果根据三项测试的平均成绩确定录用人选,那么谁将被录用(精确到 0.01 )?
(3)根据实际需要,单位将笔试、面试、民主评议三项测试得分按 4 : 3 : 3 的比例确定个人成绩,那么谁将被录用?
【答案】(l) 50 分,80 分,70 分(2)候选人乙将被录用(3)候选人丙将被录用
【解析】
试题(1)根据扇形统计图中的数据即可求得甲、乙、丙的民主评议得分;
(2)据平均数的概念求得甲、乙、丙的平均成绩,进行比较;
(3)根据加权成绩分别计算三人的个人成绩,进行比较.
(1)甲、乙、丙的民主评议得分分别为:200×25%=50分,200×40%=80分,200×35%=70分;
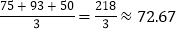
(2)甲的平均成绩为:
(分),
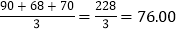
乙的平均成绩为:
(分),
丙的平均成绩为:
(分).
由于
,所以候选人乙将被录用.
(3)如果将笔试、面试、民主评议三项测试得分按
的比例确定个人成绩,那么
甲的个人成绩为:
(分),
乙的个人成绩为:
(分),
丙的个人成绩为:
(分),
由于丙的个人成绩最高,所以候选人丙将被录用.
科目:初中数学 来源: 题型:
【题目】如图,某教学楼AB的后面有一建筑物CD,当光线与地面的夹角是22°时,教学楼在建筑物的墙上留下高2m的影子CE;而当光线与地面夹角是45°时,教学楼顶部A在地面上的影子F与墙角C的距离为18m(B、F、C在同一直线上).求教学楼AB的高;(结果保留整数)(参考数据:sim22°≈0.37,cos22°≈0.93,tan22°≈0.40)![]()
查看答案和解析>>
科目:初中数学 来源: 题型:
【题目】已知:一组数据x1,x2,x3,x4,x5的平均数是2,方差是
,那么另一组数据3x1﹣2,3x2﹣2,3x3﹣2,3x4﹣2,3x5﹣2的平均数和方差分别是( )
A. 2,
B. 2,1 C. 4,
D. 4,3
查看答案和解析>>
科目:初中数学 来源: 题型:
【题目】阅读下面材料:
小明遇到这样一个问题:如图 1,在四边形 ABCD 中,E 是 BC 的中点,AE 是∠BAD 的平分线,AB∥DC,求证:AD=AB+DC. 小明发现以下两种方法:
方法 1:如图 2,延长 AE、DC 交于点 F;
方法 2:如图 3,在 AD 上取一点 G 使 AG=AB,连接 EG、CG.
(1)根据阅读材料,任选一种方法,证明:AD=AB+DC; 用学过的知识或参考小明的方法,解决下面的问题:
(2)如图 4,在四边形 ABCD 中,AE 是∠BAD 的平分线,E 是 BC 的中点,∠BAD=60°,∠ABC=180°-
∠BCD,求证:CD=CE.
![]()
![]()
查看答案和解析>>
科目:初中数学 来源: 题型:
【题目】如图是连续十周测试甲、乙两名运动员体能情况的折线统计图,教练组规定:体能测试成绩70分以上(包括70分)为合适.
![]()
(1)请根据图中所提供的信息填写下表:
平均数 | 中位数 | 体能测试成绩合格次数(次) | |
甲 | 65 | ||
乙 | 60 |
(2)请从下面两个不同的角度对运动员体能测试结果进行判断:①依据平均数与成绩合格的次数比较甲和乙,哪个的体能测试成绩较好;②依据平均数与中位数比较甲和乙,哪个的体能测试成绩较好;
(3)依据折线统计图和成绩合格的次数,分析哪位运动员体能训练的效果较好.
查看答案和解析>>
科目:初中数学 来源: 题型:
【题目】如图,在Rt△ABC中,∠ACB=90°,∠A=60°,AC=6,将△ABC绕点C按逆时针方向旋转得到△A'B'C',此时点A'恰好在AB边上,则点B'与点B之间的距离为( )
![]()
A. 12 B. 6 C. 6
D. ![]()
查看答案和解析>>
科目:初中数学 来源: 题型:
【题目】为了提高学生书写汉字的能力,增强保护汉字的意识,我市举办了首届“汉字听写大赛”,经选拔后有50名学生参加决赛,这50名学生同时听写50个汉字,若每正确听写出一个汉字得1分,根据测试成绩绘制出部分频数分布表和部分频数分布直方图如图表:
组别 | 成绩x分 | 频数(人数) |
第1组 | 25≤x<30 | 4 |
第2组 | 30≤x<35 | 8 |
第3组 | 35≤x<40 | 16 |
第4组 | 40≤x<45 | a |
第5组 | 45≤x<50 | 10 |
请结合图表完成下列各题:![]()
(1)求表中a的值;
(2)请把频数分布直方图补充完整;
(3)若测试成绩不低于40分为优秀,则本次测试的优秀率是多少?
(4)第5组10名同学中,有4名男同学,现将这10名同学平均分成两组进行对抗练习,且4名男同学每组分两人,求小宇与小强两名男同学能分在同一组的概率.
查看答案和解析>>
科目:初中数学 来源: 题型:
【题目】
在四边形ABCD中,对角线AC、BD相交于点O,∠ADB=∠CBD,添加下列一个条件后,仍不能判定四边形ABCD是平行四边形的是( )
A.∠ABD=∠CDB
B.∠DAB=∠BCD
C.∠ABC=∠CDA
D.∠DAC=∠BCA
查看答案和解析>>
湖北省互联网违法和不良信息举报平台 | 网上有害信息举报专区 | 电信诈骗举报专区 | 涉历史虚无主义有害信息举报专区 | 涉企侵权举报专区
违法和不良信息举报电话:027-86699610 举报邮箱:58377363@163.com