精英家教网 > 初中数学 > 题目详情

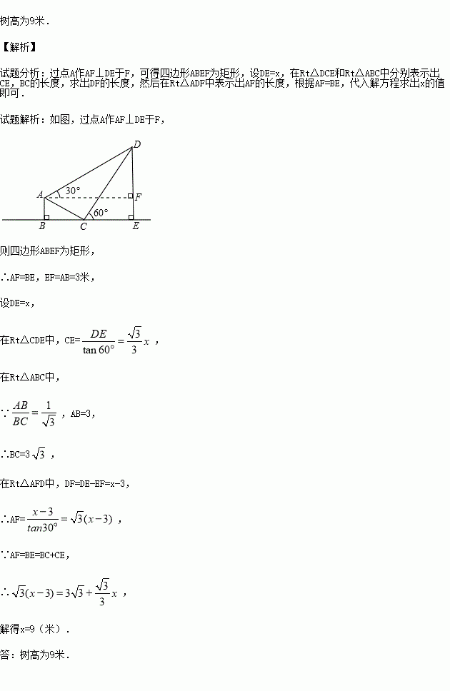
如图,某校综合实践活动小组的同学欲测量公园内一棵树DE的高度,他们在这棵树的正前方一座楼亭前的台阶上A点处测得树顶端D的仰角为30°,朝着这棵树的方向走到台阶下的点C处,测得树顶端D的仰角为60°.已知A点的高度AB为2米,台阶AC的坡度为1:(即AB:BC=1:),且B、C、E三点在同一条直线上.请根据以上条件求出树DE的高度(侧倾器的高度忽略不计).

练习册系列答案
相关习题

科目:初中数学 来源:2016届山东省九年级下学期阶段检测数学试卷(解析版) 题型:解答题

如图,直角梯形纸片ABCD中,AD∥BC,∠A=90°,∠C=30°,折叠纸片使BC经过点D,点C落在点E处,BF是折痕,且BF=CF=8.

(1)求∠BDF的度数

(2)求AB的长.

查看答案和解析>>

科目:初中数学 来源:2015-2016学年山东省文慧学校七年级下第一次月考数学试卷(解析版) 题型:选择题

如图,△ABC是锐角三角形,过点C作CD⊥AB,垂足为D,则点C到直线AB的距离是( )

A.线段CA的长 B.线段CD的长 C.线段AD的长 D.线段AB的长

查看答案和解析>>

科目:初中数学 来源:2015-2016学年山东省七年级下第一次月考数学试卷(解析版) 题型:选择题

下列语句:①三条直线只有两个交点,则其中两条直线互相平行;②如果两条平行[线被第三条截,同旁内角相等,那么这两条平行线都与第三条直线垂直;③过一点有且只有一条直线与已知直线平行,其中( )

A. ①、②是正确的命题; B.②、③是正确命题

C.①、③是正确命题; D.以上结论皆错

查看答案和解析>>

科目:初中数学 来源:2015-2016学年山东省七年级下第一次月考数学试卷(解析版) 题型:选择题

如图,直线a,b相交于点O,若∠1等于40°,则∠2等于()

A.50° B.60° C.140° D.160°

查看答案和解析>>

科目:初中数学 来源:2016届辽宁省营口市九年级中考模拟考试一数学试卷(解析版) 题型:填空题

如图,已知点A是双曲线y=-在第二象限分支上的一个动点,连接AO并延长交另一分支于点B,以AB为边作等边三角形ABC,点C在第一象限内,随着点A的运动,点C的位置也不断变化,但点C始终在双曲线y=(k>0)上运动,则k的值是

查看答案和解析>>

科目:初中数学 来源:2016届辽宁省营口市九年级中考模拟考试一数学试卷(解析版) 题型:选择题

如图,矩形ABCD中,O为AC中点,过点O的直线分别与AB,CD交于点E,F,连接BF交AC于点M,连接DE,BO.若∠COB=60°,FO=FC,则下列结论:①FB⊥OC,OM=CM;②△EOB≌△CMB;③四边形EBFD是菱形;④MB:OE=3:2.其中正确结论的个数是 ( )

A.1 B.2 C.3 D.4

查看答案和解析>>

科目:初中数学 来源:2016届江苏省扬州市宝应县九年级下学期第一次网上阅卷测试数学试卷(解析版) 题型:解答题

解方程:

查看答案和解析>>

科目:初中数学 来源:2015-2016学年江苏省宜兴市丁蜀七校七年级下3月月考数学试卷(解析版) 题型:选择题

如果∠A和∠B是直线a、b被直线c所截而成的内错角,那么∠A和∠B的大小关系是( )

A.∠A=∠B B.∠A > ∠B C.∠A < ∠B D. 无法确定

查看答案和解析>>

同步练习册答案