精英家教网 > 初中数学 > 题目详情

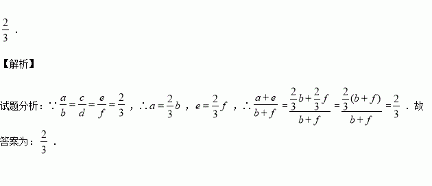
已知,则= .

练习册系列答案
相关习题

科目:初中数学 来源:2015-2016学年湖南省邵阳县黄亭市八年级上学期期中数学试卷(解析版) 题型:选择题

已知三角形三边长分别为2,x,13,若x为正整数,则这样的三角形个数为( )

A.2 B.3 C.5 D.13

查看答案和解析>>

科目:初中数学 来源:2016届江苏省无锡市北塘区九年级上学期期中考试数学试卷(解析版) 题型:填空题

若⊙O的半径是方程=0的一个根,圆心O到直线l的距离为3,则直l与⊙O的位置关系是 .

查看答案和解析>>

科目:初中数学 来源:2016届江苏省泰兴市九年级上学期期中考试数学试卷(解析版) 题型:解答题

我们在学习三角形相似时,往往是添加平行线构造相似三角形的基本图形.有一学生根据这一理论猜想三角形内角平分线有这样一个性质:如图,在△ABC中,AD平分∠BAC,则.如果你认为这个猜想是正确的,请写出一个完整的推理过程.

查看答案和解析>>

科目:初中数学 来源:2016届江苏省泰兴市九年级上学期期中考试数学试卷(解析版) 题型:填空题

如图,E,G,F,H分别是矩形ABCD四条边上的点,EF⊥GH,若AB=2,BC=3,则EF︰GH= .

查看答案和解析>>

科目:初中数学 来源:2016届江苏省泰兴市九年级上学期期中考试数学试卷(解析版) 题型:选择题

如图,梯形ABCD中,AD∥BC,∠ABC=90°,AD=9,BC=12,AB=10,在线段BC上任取一点P,作射线PE⊥PD,与线段AB交于点E,则线段PC的范围是( )

A.PC>0 B.0<PC<12 C.3≤PC≤12 D.3<PC<12

查看答案和解析>>

科目:初中数学 来源:2016届湖南省邵阳县黄亭市九年级上学期期中考试数学试卷(解析版) 题型:解答题

如图∠1=∠2,∠C=∠D,求证:AB•AD=AC•AE.

查看答案和解析>>

科目:初中数学 来源:2016届湖南省邵阳县黄亭市九年级上学期期中考试数学试卷(解析版) 题型:选择题

如图,线段AB两个端点的坐标分别是A(6,4),B(8,2),以原点O为位似中心,在第一象限内将线段AB缩小为原来的后得到线段CD,则端点C的坐标为( )

A.(3,2) B.(4,1) C.(3,1) D.(4,2)

查看答案和解析>>

科目:初中数学 来源:2015-2016学年重庆市七年级上学期期中考试数学试卷(解析版) 题型:计算题

计算:

(1)

(2)

查看答案和解析>>

同步练习册答案