精英家教网 > 初中数学 > 题目详情

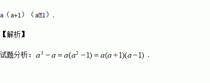
分解因式:=

练习册系列答案
相关习题

科目:初中数学 来源:2016届广东省广州市番禺区六校联合体九年级3月月考数学试卷(解析版) 题型:选择题

不等式组的解集在数轴上表示正确的是 ( )

查看答案和解析>>

科目:初中数学 来源:2014-2015学年广西南宁市八年级上学期期中检测数学试卷(解析版) 题型:填空题

一个多边形的内角和等于1080°,这个多边形是 边形.

查看答案和解析>>

科目:初中数学 来源:2015-2016学年江苏省江都市七年级下第一次月考数学试卷(解析版) 题型:解答题

分类讨论

已知(x-1)x+6 = 1,求x 的值.

查看答案和解析>>

科目:初中数学 来源:2015-2016学年江苏省江都市七年级下第一次月考数学试卷(解析版) 题型:计算题

计算或化简(幂的运算)

(1).m3·m·(m2)3 (2).(pq)4÷(qp)3·(pq)2.

(3).(3a3)3a5·(3a2)2 (4).22 (2)-2 32÷(3.14)0.

查看答案和解析>>

科目:初中数学 来源:2015-2016学年江苏省江都市七年级下第一次月考数学试卷(解析版) 题型:填空题

计算0.25100×4100=______________.

查看答案和解析>>

科目:初中数学 来源:2015-2016学年江苏省江都市七年级下第一次月考数学试卷(解析版) 题型:选择题

下列各式中错误的是 ( )

A.[(ab) 3]2=(ab)6 B.(2a2)4=16a8

C.(m2n)3=m6n3 D. (ab3)3=a3b6

查看答案和解析>>

科目:初中数学 来源:2016届湖南省郴州市九年级上学期期末考试数学试卷(解析版) 题型:填空题

已知反比例函数y=(k为常数,且k≠0)的图象位于第一、三象限,请写出一个符合条件的k的值

查看答案和解析>>

科目:初中数学 来源:2016届北大附中河南分校九年级3月月考数学试卷(解析版) 题型:解答题

某单位为治理乱停车现象,出台了规范使用停车位的管理办法.如图,矩形ABCD是供一辆机动车停放的车位示意图,已知BC=2m,CD=5.6m,∠DCF=30°,请你计算车位所占的宽度EF为多少m?(结果保留根号)

查看答案和解析>>

同步练习册答案