精英家教网 > 初中数学 > 题目详情

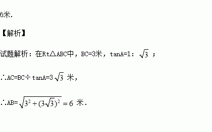
如图,河坝横断面迎水坡AB的坡比是1:(坡比是坡面的铅直高度BC与水平宽度AC之比),坝高BC=3m,则坡面AB的长度是

练习册系列答案
相关习题

科目:初中数学 来源:2016届重庆市九年级下学期第一阶段检测数学试卷(解析版) 题型:解答题

已知如图:抛物线轴交于两点(点在点的左侧)与轴交于点,点为抛物线的顶点,过点的对称轴交轴于点.

(1)如图1,连接,试求出直线的解析式;

(2)如图2,点为抛物线第一象限上一动点,连接,当四边形的面积最大时,线段于点,求此时:的值;

(3)如图3,已知点,连接,将沿着轴上下平移(包括)在平移的过程中直线轴于点,交轴于点,则在抛物线的对称轴上是否存在点,使得是以为直角边的等腰直角三角形,若存在,请直接写出点的坐标,若不存在,请说明理由.

查看答案和解析>>

科目:初中数学 来源:2016届江苏省无锡市九年级3月阶段测试数学试卷(解析版) 题型:填空题

一次函数y=5x-6与y轴的交点坐标为 .

查看答案和解析>>

科目:初中数学 来源:2016届江西省抚州市九年级下学期第四次月考数学试卷(解析版) 题型:解答题

已知:如图,平行四边形ABCD的对角线相交于点O,点E在边BC的延长线上,且OE=OB,联结DE.

(1)求证:DE⊥BE;

(2)如果OE⊥CD,求证:BD CE=CD DE.

查看答案和解析>>

科目:初中数学 来源:2016届江西省抚州市九年级下学期第四次月考数学试卷(解析版) 题型:填空题

如果将抛物线y=x2+2x-1向上平移,使它经过点A(0,3),那么所得新抛物线的表达式是_______________.

查看答案和解析>>

科目:初中数学 来源:2016届江西省抚州市九年级下学期第四次月考数学试卷(解析版) 题型:选择题

已知∠A为锐角,且cosA=0.6,那么( )

A.0°<∠A<30° B.30°<∠A<45°

C.45°<∠A<60° D.60°<∠A<90°

查看答案和解析>>

科目:初中数学 来源:2016届江苏省无锡市实验学校九年级下第一次月考数学试卷(解析版) 题型:解答题

如图,在△ABC中,AB=AC,以AC为直径的⊙O交BC于点D,

交AB于点E,过点D作DF⊥AB,垂足为F,连接DE.

(1)求证:直线DF与⊙O相切;

(2)若AE=7,BC=6,求AC的长.

查看答案和解析>>

科目:初中数学 来源:2016届江苏省无锡市实验学校九年级下第一次月考数学试卷(解析版) 题型:选择题

如图是一个几何体的三视图,则这个几何体的侧面积是( )

A.12πcm2 B.8πcm2 C.6πcm2 D.3πcm2

查看答案和解析>>

科目:初中数学 来源:2014-2015学年广西南宁市七年级上学期期中检测数学试卷(解析版) 题型:填空题

某同学用黑色的围棋摆放图案,现已摆放了如图所示的图案,按照这样的规律第(4)个图案用了 颗棋子.

查看答案和解析>>

同步练习册答案