精英家教网 > 初中数学 > 题目详情

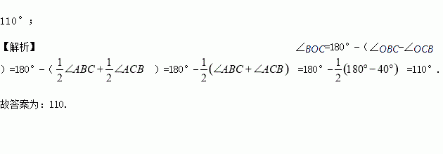
在△ABC中,∠B、∠C的平分线相交于点O,若∠A=40°,则∠BOC=___度.

练习册系列答案
相关习题

科目:初中数学 来源:2017届湖北省武汉市中考模拟数学试卷(解析版) 题型:解答题

△ABC中,D、E分别为AB、AC边上的点,DE∥BC,连接BE

(1)如图1,已知AB=6,AC=5,BC=4.若∠DBE=∠EBC,求DE的长

(2)如图2,F为BC的中点,连接DF交BE于G,连接AG交BC于H,求的值

查看答案和解析>>

科目:初中数学 来源:2017届浙江省台州市淑江区九年级上学期期末考试数学试卷(解析版) 题型:解答题

用适当的方法解方程

(1) (1)

查看答案和解析>>

科目:初中数学 来源:2016-2017学年江苏省七年级3月月考数学试卷(解析版) 题型:解答题

(本题满分8分)已知:如图1,线段AB、CD相交于点O,连接AD、CB,我们把形如图1的图形称之为“8字形”.试解答下列问题:

(1)在图1中,请直接写出∠A、∠B、∠C、∠D之间的数量关系:   

(2)仔细观察,在图2中“8字形”的个数:   个;

(3)在图2中,若∠D=40°,∠B=36°,∠DAB和∠BCD的平分线AP和CP相交于点P,并且与CD、AB分别相交于M、N.利用(1)的结论,可求得∠P的度数是   

(4)如果图2中∠D和∠B为任意角时,其他条件不变,请直接写出∠P与∠D、∠B之间存在的数量关系是   

查看答案和解析>>

科目:初中数学 来源:2016-2017学年江苏省七年级3月月考数学试卷(解析版) 题型:填空题

如图a是长方形纸带, ,将纸带沿EF折叠成图b,再沿BF折叠成图c,则图c中的的度数为_________.

查看答案和解析>>

科目:初中数学 来源:2016-2017学年江苏省七年级3月月考数学试卷(解析版) 题型:填空题

已知AD是△ABC的中线,且△ABC的面积为6cm2,则△ADB的面积为___cm2.

查看答案和解析>>

科目:初中数学 来源:2016-2017学年江苏省七年级3月月考数学试卷(解析版) 题型:单选题

如图,有以下四个条件:①∠B+∠BCD=180°,②∠1=∠2,③∠3=∠4,④∠B=5,其中能判定AB∥CD的条件的个数有( ) 个

A. 1 B. 2 C. 3 D. 4

查看答案和解析>>

科目:初中数学 来源:2016-2017学年四川省仁寿县龙正学区第二学期期中考试八年级数学试卷(解析版) 题型:填空题

若方程有增根,则它的增根是______,m=________;

查看答案和解析>>

科目:初中数学 来源:2017届湖北省武汉市中考模拟数学试卷(解析版) 题型:单选题

如图,动点P从(0,3)出发,沿所示方向运动,每当碰到矩形的边时反弹,反弹时反射角等于入射角.当点P第17次碰到矩形的边时,点P的坐标为( )

A. (3,0) B. (0,3) C. (1,4) D. (8,3)

查看答案和解析>>

同步练习册答案