精英家教网 > 初中数学 > 题目详情

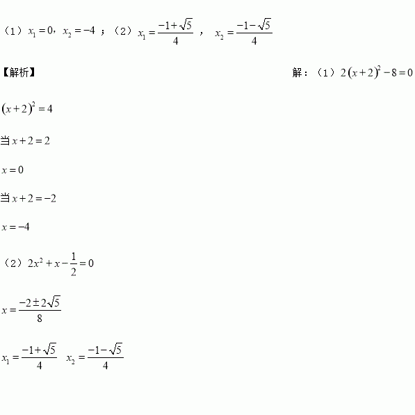
用适当的方法解方程

(1) (1)

练习册系列答案
相关习题

科目:初中数学 来源:2016届浙江省温州市九年级下学期第一次适应试考试数学试卷(解析版) 题型:单选题

不等式3x≤2(x﹣1)的解为(  )

A. x≤﹣1 B. x≥﹣1 C. x≤﹣2 D. x≥﹣2

查看答案和解析>>

科目:初中数学 来源:2016-2017学年江苏省七年级3月月考数学试卷(解析版) 题型:解答题

(本题8分)如下图,在每个小正方形边长为1的方格纸中,△ABC的顶点都在方格纸格点上.

(1)△ABC的面积为

(2)将△ABC经过平移后得到△A′B′C′,图中标出了点B的对应点B',补全△A′B′C′;

(3)在图中画出△ABC的高CD;

(4)若连接,则这两条线段之间的关系是

(5)能使S△ABC=S△QBC的格点Q,共有 个.

查看答案和解析>>

科目:初中数学 来源:2016-2017学年江苏省七年级3月月考数学试卷(解析版) 题型:选择题

已知等腰三角形的两边长分别为4、9,则它的周长为( )

A.22 B.17 C.17或22 D.13

查看答案和解析>>

科目:初中数学 来源:2017届浙江省台州市淑江区九年级上学期期末考试数学试卷(解析版) 题型:解答题

为了传承优秀传统文化,某校开展“经典诵读”比赛活动,诵读材料有《论语》,《三字经》,《弟子规》(分别用字母A,B,C依次表示这三个诵读材料),将A,B,C这三个字母分别写在3张完全相同的不透明卡片的正面上,把这3张卡片背面朝上洗匀后放在桌面上.小明和小亮参加诵读比赛,比赛时小明先从中随机抽取一张卡片,记录下卡片上的内容,放回后洗匀,再由小亮从中随机抽取一张卡片,选手按各自抽取的卡片上的内容进行诵读比赛.

(1)小明诵读《论语》的概率是   .

(2)请用列表法或画树状图法求小明和小亮诵读两个不同材料的概率.

查看答案和解析>>

科目:初中数学 来源:2017届浙江省台州市淑江区九年级上学期期末考试数学试卷(解析版) 题型:填空题

双曲线y=在每个象限内,函数值y随x的增大而增大,则m的取值范围是__________.

查看答案和解析>>

科目:初中数学 来源:2017届浙江省台州市淑江区九年级上学期期末考试数学试卷(解析版) 题型:单选题

将抛物线向左平移3个单位,再向上平移5个单位,得到抛物线的表达式为( )

A. B.

C. D.

查看答案和解析>>

科目:初中数学 来源:2016-2017学年江苏省七年级3月月考数学试卷(解析版) 题型:填空题

在△ABC中,∠B、∠C的平分线相交于点O,若∠A=40°,则∠BOC=___度.

查看答案和解析>>

科目:初中数学 来源:2016-2017学年四川省仁寿县龙正学区第二学期期中考试八年级数学试卷(解析版) 题型:单选题

下列各式中,不是分式是( )

A. B. C. D.

查看答案和解析>>

同步练习册答案