精英家教网 > 初中数学 > 题目详情

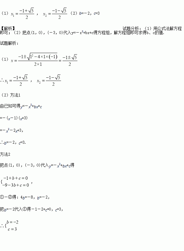
(1)解方程:x2+x-1=0

(2)抛物线y=-x2+bx+c经过点(1,0),(-3,0),求b、c的值.

练习册系列答案
相关习题

科目:初中数学 来源:2017届甘肃省定西市九年级下学期第一次教学检测数学(解析版) 题型:解答题

如图,△ABC在方格纸中

(1)请在方格纸上建立平面直角坐标系,使A(2,3),C(6,2),并求出B点坐标;

(2)以原点O为位似中心,相似比为2,在第一象限内将△ABC放大,画出放大后的图形△A′B′C′;

(3)计算△A′B′C′的面积S.

查看答案和解析>>

科目:初中数学 来源:2017届山东省菏泽市中考模拟数学试卷(解析版) 题型:单选题

|﹣|的倒数是(  )

A. B. 3 C. ﹣ D. ﹣3

查看答案和解析>>

科目:初中数学 来源:2016-2017学年四川省实验学校七年级衔接班3月月考数学试卷(解析版) 题型:单选题

下列说法不正确的是(  )

A. 0既不是正数,也不是负数

B. 绝对值最小的数是0

C. 绝对值等于自身的数只有0和1

D. 平方等于自身的数只有0和1

查看答案和解析>>

科目:初中数学 来源:2017届山东省济南市槐荫区九年级学业水平考试第一次模拟考试数学试卷(解析版) 题型:解答题

如图,抛物线与y轴交于点A(0,- ),与x轴交于B、C两点,其对称轴与x轴交于点D,直线l∥AB且过点D.

(1)求AB所在直线的函数表达式;

(2)请你判断△ABD的形状并证明你的结论;

(3)点E在线段AD上运动且与点A、D不重合,点F在直线l上运动,且∠BEF=60°,连接BF,求出△BEF面积的最小值.

查看答案和解析>>

科目:初中数学 来源:2017届山东省济南市槐荫区九年级学业水平考试第一次模拟考试数学试卷(解析版) 题型:填空题

不等式>0的解集为 ___________________.

查看答案和解析>>

科目:初中数学 来源:2017届山东省济南市槐荫区九年级学业水平考试第一次模拟考试数学试卷(解析版) 题型:单选题

如图,菱形ABCD的周长为8,高AE长为,则AC∶BD=

A. 1∶2 B. 1∶3 C. 1∶ D. 1∶

查看答案和解析>>

科目:初中数学 来源:2016-2017学年江苏省扬州市八年级下学期期中考试数学试卷(解析版) 题型:单选题

下列调查中,适合用全面调查方法的是 ( )

A. 了解一批电视机的使用寿命 B. 了解我市居民的年人均收入

C. 了解我市中学生的近视率 D. 了解某校数学教师的年龄状况

查看答案和解析>>

科目:初中数学 来源:2017届广东省深圳市九年级3月月考数学试卷(解析版) 题型:单选题

设a是方程x2-3x+1=0的一个实数根,则的值为( )

A. 502 B. 503 C. 504 D. 505

查看答案和解析>>

同步练习册答案