精英家教网 > 初中数学 > 题目详情

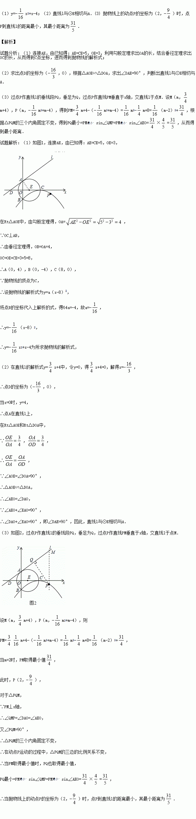
如图,⊙E的圆心E(3,0),半径为5,⊙E与y轴相交于A、B两点(点A在点B的上方),与x轴的正半轴相交于点C;直线l的解析式为y=x+4,与x轴相交于点D;以C为顶点的抛物线经过点B.

(1)求抛物线的解析式;

(2)判断直线l与⊙E的位置关系,并说明理由;

(3) 动点P在抛物线上,当点P到直线l的距离最小时,求出点P的坐标及最小距离.

练习册系列答案
相关习题

科目:初中数学 来源:2015-2016学年湖南省八年级下第一次月考数学试卷(解析版) 题型:解答题

九(1)班同学为了解2011年某小区家庭月均用水情况,随机调查了该小区部分家庭,并将调查数据进行如下整理.请解答以下问题:

(1)把上面的频数分布表和频数分布直方图补充完整;

(2)若该小区用水量不超过15t的家庭占被调查家庭总数的百分比;

(3)若该小区有1000户家庭,根据调查数据估计,该小区月均用水量超过20t的家庭大约有多少户?

查看答案和解析>>

科目:初中数学 来源:2016届云南省九年级下学期第一次月考数学试卷(解析版) 题型:选择题

PM2.5是指大气中直径≤0.0000025米的颗粒物,将0.0000025用科学记数法表示为( )

A.2.5×10﹣7 B.2.5×10﹣6 C.25×10﹣7 D.0.25×10﹣5

查看答案和解析>>

科目:初中数学 来源:2016届江苏省泰州市九年级下学期第一次月考数学试卷(解析版) 题型:填空题

小明从家里骑自行车到学校,每小时骑15km,可早到10min;每小时骑12km,就会迟到5min.问他家到学校的路程是多少千米?设他家到学校的路程为xkm,则根据题意列出的方程是

查看答案和解析>>

科目:初中数学 来源:2016届江苏省泰州市九年级下学期第一次月考数学试卷(解析版) 题型:选择题

若反比例函数y=的图象过点(-2,1),则一次函数y=kx-k的图象过( )

A.第一、二、四象限 B.第一、三、四象限

C.第二、三、四象限 D.第一、二、三象限

查看答案和解析>>

科目:初中数学 来源:2016届江苏省泰兴市九年级下学期第一次知识质量调查数学试卷(解析版) 题型:解答题

为了更好地了解某区近阶段九年级学生的中考目标,某研究机构设计了如下调查问卷(单选):你的中考目标是哪一个?

A.升入四星普通高中;B.升入三星级普通高中;C.升入五年制高职类学校; D.升入中等职业类学校;E.等待初中毕业,不想再读书了.

在随机调查了某区3000名九年级学生中的部分学生后,统计整理并制作了如下的统计图.根据有关信息解答下列问题:

(1)此次共调查了 名学生,计算扇形统计图中=

(2) 补全条形统计图。

(3) 请你估计其中有多少名学生选择升入四星普通高中。

查看答案和解析>>

科目:初中数学 来源:2016届江苏省泰兴市九年级下学期第一次知识质量调查数学试卷(解析版) 题型:填空题

二次函数y=ax2+bx+c(a≠0)的部分对应值如下表:

则二次函数y=ax2+bx+c在x=2时,y=

查看答案和解析>>

科目:初中数学 来源:2016届湖北省武汉市九年级下3月考数学试卷(解析版) 题型:解答题

如图,⊙O的半径r=25,四边形ABCD内接圆⊙O,AC⊥BD于点H,P为CA延长线上的一点,且∠PDA=∠ABD

(1) 试判断PD与⊙O的位置关系,并说明理由

(2) 若tan∠ADB= ,PA=AH,求BD的长

查看答案和解析>>

科目:初中数学 来源:2016届安徽省十校联考中考数学四模试卷(解析版) 题型:选择题

如图,下列几何体的左视图不是矩形的是( )

查看答案和解析>>

同步练习册答案