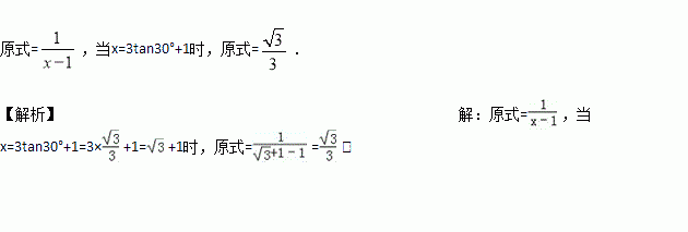
科目:初中数学 来源:辽宁省大石桥市水源镇九年一贯制学校2016-2017学年七年级下学期期中考试数学试卷 题型:填空题
4xa+2b﹣5﹣2y3a﹣b﹣3=8是二元一次方程,那么a﹣b= .
查看答案和解析>>
科目:初中数学 来源:2016-2017学年甘肃省八年级下学期期中考试数学试卷(解析版) 题型:解答题
如图,M、N是平行四边形ABCD对角线BD上两点.BM=DN,求证:四边形AMCN为平行四边形;
![]()
查看答案和解析>>
科目:初中数学 来源:2016-2017学年甘肃省八年级下学期期中考试数学试卷(解析版) 题型:单选题
如图,平行四边形ABCD中,∠A的平分线AE交CD于E,AB=5,BC=3,则EC的长( )
![]()
A. 1 B. 1.5 C. 2 D. 3
查看答案和解析>>
科目:初中数学 来源:2017届辽宁省大石桥市水源镇九年一贯制学校九年级下学期期中考试数学试卷(解析版) 题型:解答题
(本题满分12分)快、慢两车分别从相距480千米路程的甲、乙两地同时出发,匀速行驶,先相向而行,途中慢车因故停留1小时,然后以原速继续向甲地行驶,到达甲地后停止行驶;快车到达乙地后,立即按原路原速返回甲地(快车掉头的时间忽略不计),快、慢两车距乙地的路程
(千米)与所用时间
(小时)之间的函数图象如图,请结合图象信息解答下列问题:
(1)求慢车的行驶速度和
的值;
(2)求快车与慢车第一次相遇时,距离甲地的路程是多少千米?
(3)求两车出发后几小时相距的路程为
千米?
![]()
查看答案和解析>>
科目:初中数学 来源:2017届辽宁省大石桥市水源镇九年一贯制学校九年级下学期期中考试数学试卷(解析版) 题型:填空题
如图,直线a∥b,EF⊥CD于点F,∠2=65°,则∠1的度数是 .
![]()
查看答案和解析>>
科目:初中数学 来源:2017届辽宁省大石桥市水源镇九年一贯制学校九年级下学期期中考试数学试卷(解析版) 题型:选择题
如图,直径为10的⊙A经过点C(0,5)和点O(0,0),B是y轴右侧⊙A优弧上一点,则cos∠OBC的值为( )
![]()
A.
B.
C.
D.
查看答案和解析>>
科目:初中数学 来源:黑龙江省军川农场学校2016-2017学年八年级下学期期中考试数学试卷 题型:单选题
点A(-4,3)和点B(-8,3),则A,B相距( )
A. 4个单位长度 B. 12个单位长度 C. 10个单位长度 D. 8个单位长度
查看答案和解析>>
科目:初中数学 来源:江苏省南通市2015-2016学年七年级下学期期中考试数学试卷 题型:单选题
在3.14,
中,无理数有( )个
A. 1个 B. 2个 C. 3个 D. 4个
查看答案和解析>>
湖北省互联网违法和不良信息举报平台 | 网上有害信息举报专区 | 电信诈骗举报专区 | 涉历史虚无主义有害信息举报专区 | 涉企侵权举报专区
违法和不良信息举报电话:027-86699610 举报邮箱:58377363@163.com