精英家教网 > 初中数学 > 题目详情

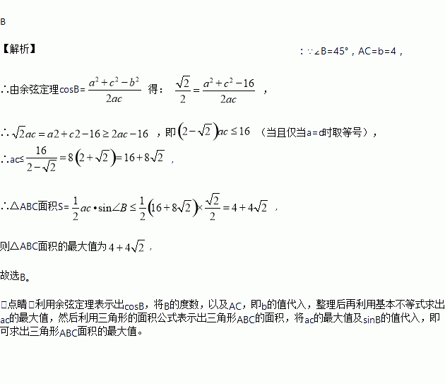
在△ABC中,∠B=45°,AC=4,则△ABC面积的最大值为( )

A. 4 B. 4+4 C. 8 D. 8+8

练习册系列答案
相关习题

科目:初中数学 来源:[首发]江苏省盐城市2016-2017学年八年级下学期第二次学情考试数学试卷(A版) 题型:单选题

中分式有( )

A. 2个 B. 3个 C. 4个 D. 5个

查看答案和解析>>

科目:初中数学 来源:【全国百强校首发】江西省新余市2016-2017学年七年级下学期第二次段考数学试卷 题型:填空题

如图,一个粒子在第一象限内及x轴、y轴上运动,在第一分钟内它从原点运动到(1,0),而后它接着按图示在x轴、y轴平行的方向上来回运动,且每分钟移动一个长度单位,那么在2015分钟后这个粒子所处的位置(坐标)是 ______ .

查看答案和解析>>

科目:初中数学 来源:江苏省宜兴市宜城环科园教学联盟2017届九年级下学期第二次模拟考试数学试卷 题型:解答题

在一次中学生田径运动会上,根据参加男子跳高初赛的运动员的成绩(单位:m),绘制出如下两幅统计图.请根据相关信息,解答下列问题:

(1)扇形统计图中,初赛成绩为1.65m所在扇形图形的圆心角为_ _°;

(2)补全条形统计图;

(3)这组初赛成绩的中位数是 m;

(4)根据这组初赛成绩确定8人进入复赛,那么初赛成绩为1.60m的运动员杨强能否进入复赛?为什么?

查看答案和解析>>

科目:初中数学 来源:江苏省宜兴市宜城环科园教学联盟2017届九年级下学期第二次模拟考试数学试卷 题型:填空题

如图,AB是⊙O的弦,AC是⊙O的切线,A为切点,BC经过圆心O.若∠B=25°,则∠C=_____________.

查看答案和解析>>

科目:初中数学 来源:江苏省宜兴市宜城环科园教学联盟2017届九年级下学期第二次模拟考试数学试卷 题型:单选题

如图,直线m∥n,∠1=70°,∠2=30°,则∠A等于( )

A. 30° B. 35° C. 40° D. 50°

查看答案和解析>>

科目:初中数学 来源:[首发]江西省抚州市2016-2017学年七年级下学期第二次月考数学试卷 题型:解答题

先化简,再求值:

查看答案和解析>>

科目:初中数学 来源:湖南省衡阳市2017届中考模拟联考数学试卷 题型:解答题

如图,在△ABP中,C是BP边上一点,∠PAC=∠PBA,⊙O是△ABC的外接圆,AD是⊙O的直径,且交BP于点E.

(1)求证:PA是⊙O的切线;

(2)过点C作CF⊥AD,垂足为点F,延长CF交AB于点G,

若AG•AB=12,求AC的长.

查看答案和解析>>

科目:初中数学 来源:四川省成都市双流区2017年中考适应性训练数学试卷 题型:填空题

如图,在△ABC中,DE∥BC,AD=,BD=5,AE=2,则EC的长是_______.

查看答案和解析>>

同步练习册答案