精英家教网 > 初中数学 > 题目详情
为推进节能减排,发展低碳经济,深化“宜居重庆”的建设,我市某“用电大户”用480万元购得“变频调速技术”后,进一步投入资金1520万元购买配套设备,以提高用电效率达到节约用电的目的。已知该“用电大户”生产的产品“草甘磷”每件成本费为40元。经过市场调研发现:该产品的销售单价,需定在100元到300元之间较为合理。当销售单价定为100元时,年销售量为20万件;当销售单价超过100元,但不超过200元时,每件新产品的销售价格每增加10元,年销售量将减少0.8万件;当销售单价超过200元,但不超过300元时,每件产品的销售价格在200元的基础上每增加10元,年销售量将减少1万件。设销售单价为x(元),年销售量为y(万件),年获利为w(万元)。
(年获利=年销售额-生产成本-节电投资)
(1)直接写出y与x之间的函数关系式;
(2)求第一年的年获利w与x间的函数关系式,并说明投资的第一年,该“用电大户”是盈利还是亏损?若盈利,最大利润是多少?若亏损,最少亏损是多少?
(3)若该“用电大户”把“草甘磷”的销售单价定在超过100元,但不超过200元的范围内,并希望到第二年底,除去第一年的最大盈利(或最小亏损)后,两年的总盈利为1842万元,请你确定此时销售单价。在此情况下,要使产品销售量最大,销售单价应定为多少元?
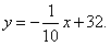
解:(1)当时,
               当时,
              得,∴
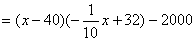
(2)当时,
                                               
                                               
                                                
                                              
           当x=195时,
            当时,
                                                 
                                                 
                                                 
             ∴对称轴是直线x=180 
             
              ∴
             ∴投资的第一年该“用电大户”是亏损的,最少亏损为78万元。
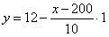
(3)依题意可知,当时,第二年w与x之间的函数关系为
                           
         当总利润刚好为1842万元时,依题意可得
         整理,得
          解得,
          ∴要使两年的总盈利为1842万元,销售单价可定为190元或200元
          ∵对y随x的增大而减小
          ∴使销售量最大的销售单价应定为190元。
练习册系列答案
相关习题

科目:初中数学 来源: 题型:

为推进节能减排,发展低碳经济,深化“宜居重庆”的建设,我市某“用电大户”用480万元购得“变频调速技术”后,进一步投入资金1520万元购买配套设备,以提高用电效率达到节约用电的目的.已知该“用电大户”生产的产品“草甘磷”每件成本费为40元.经过市场调研发现:该产品的销售单价,需定在100元到300元之间较为合理.当销售单价定为100元时,年销售量为20万件;当销售单价超过100元,但不超过200元时,每件新产品的销售价格每增加10元,年销售量将减少0.8万件;当销售单价超过200元,但不超过300元时,每件产品的销售价格在200元的基础上每增加10元,年销售量将减少1万件.设销售单价为x元),年销售量为y万件),年获利为w万元).
(年获利=年销售额-生产成本-节电投资)
(1)直接写出y与x间的函数关系式;
(2)求第一年的年获利w与x函数关系式,并说明投资的第一年,该“用电大户”是盈利还是亏损?若盈利,最大利润是多少?若亏损,最少亏损是多少?
(3)若该“用电大户”把“草甘磷”的销售单价定在超过100元,但不超过200元的范围内,并希望到第二年底,除去第一年的最大盈利(或最小亏损)后,两年的总盈利为1842万元,请你确定此时销售单价.在此情况下,要使产品销售量最大,销售单价应定为多少元?

查看答案和解析>>

科目:初中数学 来源: 题型:

(2012•长沙)在长株潭建设两型社会的过程中,为推进节能减排,发展低碳经济,我市某公司以25万元购得某项节能产品的生产技术后,再投入100万元购买生产设备,进行该产品的生产加工.已知生产这种产品的成本价为每件20元.经过市场调研发现,该产品的销售单价定在25元到35元之间较为合理,并且该产品的年销售量y(万件)与销售单价x(元)之间的函数关系式为:y=
40-x(25≤x≤30)
25-0.5x(30<x≤35)

(年获利=年销售收入-生产成本-投资成本)
(1)当销售单价定为28元时,该产品的年销售量为多少万件?
(2)求该公司第一年的年获利W(万元)与销售单价x(元)之间的函数关系式,并说明投资的第一年,该公司是盈利还是亏损?若盈利,最大利润是多少?若亏损,最小亏损是多少?
(3)第二年,该公司决定给希望工程捐款Z万元,该项捐款由两部分组成:一部分为10万元的固定捐款;另一部分则为每销售一件产品,就抽出一元钱作为捐款.若除去第一年的最大获利(或最小亏损)以及第二年的捐款后,到第二年年底,两年的总盈利不低于67.5万元,请你确定此时销售单价的范围.

查看答案和解析>>

科目:初中数学 来源:不详 题型:解答题

为推进节能减排,发展低碳经济,深化“宜居重庆”的建设,我市某“用电大户”用480万元购得“变频调速技术”后,进一步投入资金1520万元购买配套设备,以提高用电效率达到节约用电的目的.已知该“用电大户”生产的产品“草甘磷”每件成本费为40元.经过市场调研发现:该产品的销售单价,需定在100元到300元之间较为合理.当销售单价定为100元时,年销售量为20万件;当销售单价超过100元,但不超过200元时,每件新产品的销售价格每增加10元,年销售量将减少0.8万件;当销售单价超过200元,但不超过300元时,每件产品的销售价格在200元的基础上每增加10元,年销售量将减少1万件.设销售单价为x元),年销售量为y万件),年获利为w万元).
(年获利=年销售额-生产成本-节电投资)
(1)直接写出y与x间的函数关系式;
(2)求第一年的年获利w与x函数关系式,并说明投资的第一年,该“用电大户”是盈利还是亏损?若盈利,最大利润是多少?若亏损,最少亏损是多少?
(3)若该“用电大户”把“草甘磷”的销售单价定在超过100元,但不超过200元的范围内,并希望到第二年底,除去第一年的最大盈利(或最小亏损)后,两年的总盈利为1842万元,请你确定此时销售单价.在此情况下,要使产品销售量最大,销售单价应定为多少元?

查看答案和解析>>

科目:初中数学 来源:湖南省中考真题 题型:解答题

在长株潭建设两型社会的过程中,为推进节能减排,发展低碳经济,我市某公司以25万元购得某项节能产品的生产技术后,再投入100万元购买生产设备,进行该产品的生产加工.已知生产这种产品的成本价为每件20元.经过市场调研发现,该产品的销售单价定在25元到30元之间较为合理,并且该产品的年销售量y(万件)与销售单价x(元)之间的函数关系式为:
(年获利=年销售收入﹣生产成本﹣投资成本)
(1)当销售单价定为28元时,该产品的年销售量为多少万件?
(2)求该公司第一年的年获利W(万元)与销售单价x(元)之间的函数关系式,并说明投资的第一年,该公司是盈利还是亏损?若盈利,最大利润是多少?若亏损,最小亏损是多少?
(3)第二年,该公司决定给希望工程捐款Z万元,该项捐款由两部分组成:一部分为10万元的固定捐款;另一部分则为每销售一件产品,就抽出一元钱作为捐款.若除去第一年的最大获利(或最小亏损)以及第二年的捐款后,到第二年年底,两年的总盈利不低于67.5万元,请你确定此时销售单价的范围.

查看答案和解析>>

科目:初中数学 来源:2013年重庆市西南大学附属中学中考数学二模试卷(解析版) 题型:解答题

为推进节能减排,发展低碳经济,深化“宜居重庆”的建设,我市某“用电大户”用480万元购得“变频调速技术”后,进一步投入资金1520万元购买配套设备,以提高用电效率达到节约用电的目的.已知该“用电大户”生产的产品“草甘磷”每件成本费为40元.经过市场调研发现:该产品的销售单价,需定在100元到300元之间较为合理.当销售单价定为100元时,年销售量为20万件;当销售单价超过100元,但不超过200元时,每件新产品的销售价格每增加10元,年销售量将减少0.8万件;当销售单价超过200元,但不超过300元时,每件产品的销售价格在200元的基础上每增加10元,年销售量将减少1万件.设销售单价为x元),年销售量为y万件),年获利为w万元).
(年获利=年销售额-生产成本-节电投资)
(1)直接写出y与x间的函数关系式;
(2)求第一年的年获利w与x函数关系式,并说明投资的第一年,该“用电大户”是盈利还是亏损?若盈利,最大利润是多少?若亏损,最少亏损是多少?
(3)若该“用电大户”把“草甘磷”的销售单价定在超过100元,但不超过200元的范围内,并希望到第二年底,除去第一年的最大盈利(或最小亏损)后,两年的总盈利为1842万元,请你确定此时销售单价.在此情况下,要使产品销售量最大,销售单价应定为多少元?

查看答案和解析>>

同步练习册答案