精英家教网 > 初中数学 > 题目详情
如图,在△ABC中,∠C=90,P为AB上一点,且点P不与点A重合,过P作PE⊥AB交AC边于点E,点E不与点C重合,若AB=10,AC=8,设AP的长为x,四边形PECB周长为y.
(1)求证:△APE∽△ACB;
(2)写出y与x的函数关系式,并在直角坐标系中画出图象.
(1)证明:∵PE⊥AB    ∴∠APE=90°
           又∵∠C=90° ∴∠APE=∠C
             又∵∠A=∠A    ∴△APE∽△ACB;
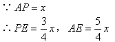
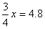
(2)解:在Rt△ABC中,AB=10,AC=8
               ∴BC=
             由(1)可知,△APE∽△ACB ∴
             
               ∴=
           过点C作CF⊥AB于F,依题意可得:
              ∴
             ∴解得:x=6.4
               ∴
             ∴y与x的函数关系式为: ()
练习册系列答案
相关习题

科目:初中数学 来源: 题型:

20、如图,在△ABC中,∠BAC=45°,现将△ABC绕点A逆时针旋转30°至△ADE的位置,使AC⊥DE,则∠B=
75
度.

查看答案和解析>>

科目:初中数学 来源: 题型:

精英家教网如图,在△ABC中,∠ACB=90°,AC=BC=1,取斜边的中点,向斜边作垂线,画出一个新的等腰三角形,如此继续下去,直到所画出的直角三角形的斜边与△ABC的BC重叠,这时这个三角形的斜边为
(  )
A、
1
2
B、(
2
2
7
C、
1
4
D、
1
8

查看答案和解析>>

科目:初中数学 来源: 题型:

2、如图,在△ABC中,DE∥BC,那么图中与∠1相等的角是(  )

查看答案和解析>>

科目:初中数学 来源: 题型:

精英家教网如图,在△ABC中,AB=AC,且∠A=100°,∠B=
 
度.

查看答案和解析>>

科目:初中数学 来源: 题型:

14、如图,在△ABC中,AB=BC,边BC的垂直平分线分别交AB、BC于点E、D,若BC=10,AC=6cm,则△ACE的周长是
16
cm.

查看答案和解析>>

同步练习册答案