精英家教网 > 初中数学 > 题目详情

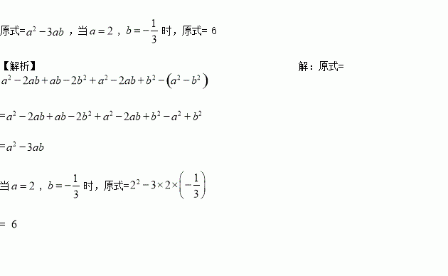
先化简,再求值: , 其中,

练习册系列答案
相关习题

科目:初中数学 来源:2017届黑龙江省哈尔滨市平房区一模数学试卷(解析版) 题型:填空题

如图,在等边三角形ABC中,点D、点E分别为AB,AC上的点,BE与CD相交于点F,BF=4EF=4,CE=AD.则S△AEB=____.

查看答案和解析>>

科目:初中数学 来源:2017届河北省中考模拟数学试卷(四)(解析版) 题型:单选题

若关于x的方程x2+2x+m=0有两个不相等的实数根,则m的取值范围在数轴上表示正确的是(  )

A. B. C. D.

查看答案和解析>>

科目:初中数学 来源:2016-2017学年北京市丰台区八年级第二学期期中考试数学试卷(解析版) 题型:单选题

如图,在菱形中, =120°,点E是边的中点,P是对角线上的一个动点,若AB=2,则PB+PE的最小值是( )

A. 1 B. C. 2 D.

查看答案和解析>>

科目:初中数学 来源:2016-2017学年北京市丰台区八年级第二学期期中考试数学试卷(解析版) 题型:单选题

下列环保标志中,是中心对称图形的是( )

A. B. C. D.

查看答案和解析>>

科目:初中数学 来源:2016-2017学年浙江省温州市八校第二学期期中联考七年级数学试卷(解析版) 题型:填空题

已知, 则的值是_______.

查看答案和解析>>

科目:初中数学 来源:2016-2017学年浙江省温州市八校第二学期期中联考七年级数学试卷(解析版) 题型:单选题

如图,正方形卡片A类、B类和长方形卡片C类各若干张,如果要拼一个长为(a+3b),宽为(2a+b)的大长方形,则需要A类、B类和C类卡片的张数分别为( )

A. 2,3,7 B. 3,7,2 C. 2,5,3 D. 2,5,7

查看答案和解析>>

科目:初中数学 来源:2017届辽宁省盘锦市中考模拟试卷(一)数学试卷(解析版) 题型:单选题

如图,二次函数y=ax2+bx+c(a≠0)的图象与x轴正半轴相交于A、B两点,与y轴相交于点C,对称轴为直线x=2,且OA=OC,则下列结论:①abc>0;②9a+3b+c<0;③c>﹣1;④关于x的方程ax2+bx+c=0(a≠0)有一个根为 -,其中正确的结论个数有_____________________ (填序号)

查看答案和解析>>

科目:初中数学 来源:2017届四川省眉山市中考适应性考试数学试卷(解析版) 题型:解答题

如图,已知抛物线经过A(-1,0),B(3,0),C(0,3)三点,直线是抛物线的对称轴.

(1)求抛物线的函数解析式及顶点D的坐标;

(2)设点P是直线上的一个动点,当△PAC的周长最小时,求点P的坐标;

(3)在直线上是否存在点M,使△MAC为等腰三角形?若存在,求出所有符合条件的点M的坐标,若不存在,请说明理由.

查看答案和解析>>

同步练习册答案