精英家教网 > 初中数学 > 题目详情

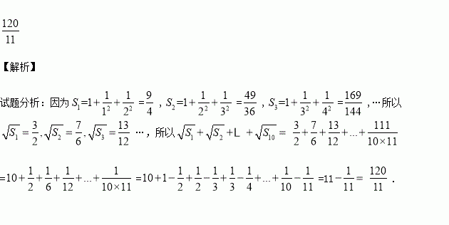
,,,…, ,…,则

练习册系列答案
相关习题

科目:初中数学 来源:2015-2016学年四川省眉山市华兴联谊学校八年级下学期期中数学试卷(解析版) 题型:选择题

如图,点P为□ABCD的边CD上一点,若△PAB、△PCD、△PBC的面积分别为S1、S2和S3,则它们之间的大小关系是( )

A、S3=S1+S2 B、2S3=S1+S2

C、S3>S1+S2 D、S3<S1+S2

查看答案和解析>>

科目:初中数学 来源:2016届重庆市校九年级下学期第一阶段考试数学试卷(解析版) 题型:解答题

对于平面直角坐标系中的任意两点, ,我们把叫做A、B两点之间的直角距离,记作

(1)已知(0,0)为坐标原点,(1)若点P坐标为(-1,3),求

(2)若Q(x,y)在第一象限,且满足=4,请写出x与y之间满足的关系式,并在平面直角坐标系内画出符合条件的点Q组成的图形.

(3)设M是一定点,N是直线上的动点,我们把的最小值叫做M到直线的直角距离,试求点到直线的直角距离.

查看答案和解析>>

科目:初中数学 来源:2016届重庆市校九年级下学期第一阶段考试数学试卷(解析版) 题型:选择题

如图,AB是⊙O的直径,∠ADC=,OA=2,则BC的长为( )

A. 2 B. C. 4 D.

查看答案和解析>>

科目:初中数学 来源:2016届重庆市校九年级下学期第一阶段考试数学试卷(解析版) 题型:选择题

实数-15的相反数是( )

A. 15 B. C. -15 D.

查看答案和解析>>

科目:初中数学 来源:2016届浙江省九年级下学期学科素养测试数学试卷(解析版) 题型:填空题

已知一个几何体由一些大小相同的小正方体组成,它的主视图和俯视图如图所示,那么组成该几何体所需小正方体的个数最多为

查看答案和解析>>

科目:初中数学 来源:2016届浙江省九年级下学期学科素养测试数学试卷(解析版) 题型:选择题

下面哪个图形不是正方体的展开图( )

查看答案和解析>>

科目:初中数学 来源:2016届新疆乌鲁木齐市九年级下学第一次模拟考试数学试卷(解析版) 题型:选择题

如图,在四边形中,动点从点开始沿的路径匀速前进到为止。在这个过程中,的面积随时间的变化关系用图象表示正确的是 ( )

查看答案和解析>>

科目:初中数学 来源:2016届广东省深圳市17所名校九年级下学期联考数学试卷(解析版) 题型:解答题

如图,直线与反比例函数的图象相交于两点,延长AO交反比例函数图象于点C,连接OB

(1)求k和b的值;

(2)直接写出一次函数值小于反比例函数值的自变量x的取值范围;

(3)在y轴上是否存在一点P,使?若存在请求出点P坐标,若不存在请说明理由。

查看答案和解析>>

同步练习册答案