精英家教网 > 初中数学 > 题目详情

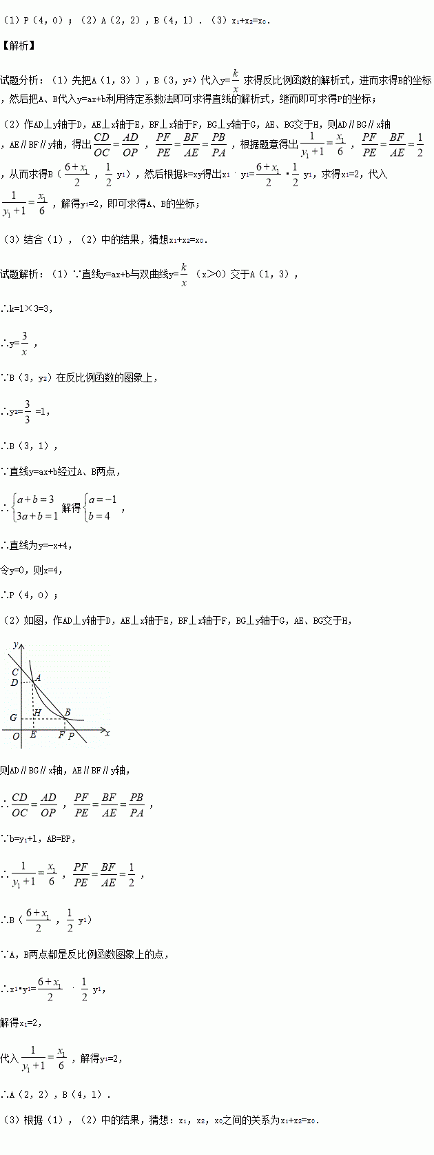
如图,已知直线y=ax+b与双曲线y=(x>0)交于A(x1,y1),B(x2,y2)两点(A与B不重合),直线AB与x轴交于P(x0,0),与y轴交于点C.

(1)若A,B两点坐标分别为(1,3),(3,y2),求点P的坐标.

(2)若b=y1+1,点P的坐标为(6,0),且AB=BP,求A,B两点的坐标.

(3)结合(1),(2)中的结果,猜想并用等式表示x1,x2,x0之间的关系(不要求证明).

练习册系列答案
相关习题

科目:初中数学 来源:2016届安徽省芜湖市南陵县九年级下学期中考第一次模拟考试数学试卷(解析版) 题型:填空题

图中所示是一条宽为1.5m的直角走廊,现有一辆转动灵活的手推车,其矩形平板面ABCD的宽AB为1m,若要想顺利推过(不可竖起来或侧翻)直角走廊,平板车的长AD不能超过 米.

查看答案和解析>>

科目:初中数学 来源:2016届江苏省无锡市九年级3月阶段测试数学试卷(解析版) 题型:解答题

问题背景(1)如图1,△ABC中,DE∥BC分别交AB,AC于D,E两点,过点E作EF∥AB交BC于点F.请按图示数据填空:△EFC的面积__________,△ADE的面积______________.

探究发现(2)在(1)中,若BF=m,FC=n,DE与BC间的距离为.请证明

拓展迁移(3)如图2,□DEFG的四个顶点在△ABC的三边上,若△ADG、△DBE、△GFC的面积分别为3、7、5,试利用(2)中的结论求△ABC的面积.

查看答案和解析>>

科目:初中数学 来源:2016届江苏省无锡市九年级3月阶段测试数学试卷(解析版) 题型:选择题

如图给定的是纸盒的外表面,下面能由它折叠而成的是( )

查看答案和解析>>

科目:初中数学 来源:2016届江苏省无锡市九年级3月阶段测试数学试卷(解析版) 题型:选择题

函数的自变量的取值范围是 ( )

A. B. C. D.

查看答案和解析>>

科目:初中数学 来源:2016届江西省抚州市九年级下学期第四次月考数学试卷(解析版) 题型:解答题

某同学报名参加运动会,有以下5个项目可供选择:径赛项目:100m ,200m ,400m(分别用A1 、A2 、A3表示);田赛项目:跳远 ,跳高(分别用B1 、B2表示).

(1)该同学从5个项目中任选一个,恰好是田赛项目的概率为

(2)该同学从5个项目中任选两个,利用树状图或表格列举出所有可能出现的结果,并求恰好是一个田赛项目和一个径赛项目的概率.

查看答案和解析>>

科目:初中数学 来源:2016届江西省抚州市九年级下学期第四次月考数学试卷(解析版) 题型:填空题

已知一元二次方程的两根为m,n ,则= .

查看答案和解析>>

科目:初中数学 来源:2016届江苏省无锡市实验学校九年级下第一次月考数学试卷(解析版) 题型:解答题

解方程:解不等式组:

查看答案和解析>>

科目:初中数学 来源:2016届广东省广州市番禺区六校联合体九年级3月月考数学试卷(解析版) 题型:选择题

课间休息,小亮与小明一起玩“剪刀、石头、布”的游戏,小明出“剪刀”的概率是( )

A. B. C. D.

查看答案和解析>>

同步练习册答案