精英家教网 > 初中数学 > 题目详情

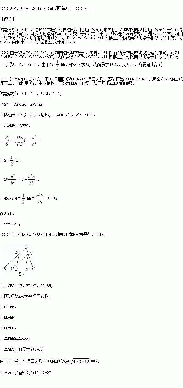
问题背景(1)如图1,△ABC中,DE∥BC分别交AB,AC于D,E两点,过点E作EF∥AB交BC于点F.请按图示数据填空:△EFC的面积__________,△ADE的面积______________.

探究发现(2)在(1)中,若BF=m,FC=n,DE与BC间的距离为.请证明

拓展迁移(3)如图2,□DEFG的四个顶点在△ABC的三边上,若△ADG、△DBE、△GFC的面积分别为3、7、5,试利用(2)中的结论求△ABC的面积.

练习册系列答案
相关习题

科目:初中数学 来源:2014-2015学年湖南省九年级年级上期末考试数学试卷(解析版) 题型:解答题

2009年3月21日邵阳市荣获“省卫生城市称号”,在创卫过程中,要在东西方向M、N两地之间修建一条道路,已知:如图,C点周围180米范围内为文物保护区,在MN上点A处测得C在A的北偏东60°方向上,从A向东走500米到达B处,测得C在B的北偏西45°方向上,问MN是否穿过文物保护区?为什么?

查看答案和解析>>

科目:初中数学 来源:2016届安徽省芜湖市南陵县九年级下学期中考第一次模拟考试数学试卷(解析版) 题型:选择题

下列图案中,既是轴对称图形又是中心对称图形的是( ).

查看答案和解析>>

科目:初中数学 来源:2016届重庆市九年级下学期第一阶段检测数学试卷(解析版) 题型:选择题

元旦节假期的某天,小花骑车从家出发前往歌乐山烈士陵园扫墓,行驶一段时间后,因车子出现问题,途中耽搁了一段时间,车子修好后,加速前行,到达烈士陵园扫完墓后匀速骑车回家,其中表示小花从家出发后的时间,表示小花离家的距离,下面能反映的函数关系的大致图象是( )

查看答案和解析>>

科目:初中数学 来源:2016届重庆市九年级下学期第一阶段检测数学试卷(解析版) 题型:选择题

下列因式分解中,正确的是( )

A. B.

C. D.

查看答案和解析>>

科目:初中数学 来源:2016届江苏省无锡市九年级3月阶段测试数学试卷(解析版) 题型:解答题

已知:如图,在□ABCD中,线段EF分别交AD、AC、BC于点E、O、F,EF⊥AC,AO=CO.

(1)求证:△AOE≌△COF;

(2)在本题的已知条件中,有一个条件如果去掉,并不影响(1)的证明,你认为这个多余的条件是 (直接写出这个条件).

查看答案和解析>>

科目:初中数学 来源:2016届江苏省无锡市九年级3月阶段测试数学试卷(解析版) 题型:填空题

已知关于的方程x2-x-2=0的两个根为x1、x2,则x1+x2-x1x2=

查看答案和解析>>

科目:初中数学 来源:2016届江西省抚州市九年级下学期第四次月考数学试卷(解析版) 题型:解答题

如图,已知直线y=ax+b与双曲线y=(x>0)交于A(x1,y1),B(x2,y2)两点(A与B不重合),直线AB与x轴交于P(x0,0),与y轴交于点C.

(1)若A,B两点坐标分别为(1,3),(3,y2),求点P的坐标.

(2)若b=y1+1,点P的坐标为(6,0),且AB=BP,求A,B两点的坐标.

(3)结合(1),(2)中的结果,猜想并用等式表示x1,x2,x0之间的关系(不要求证明).

查看答案和解析>>

科目:初中数学 来源:2016届江苏省无锡市实验学校九年级下第一次月考数学试卷(解析版) 题型:选择题

已知x=,y=,则x2+xy+y2的值为( )

A.2 B.4 C.5 D.7

查看答案和解析>>

同步练习册答案