精英家教网 > 初中数学 > 题目详情

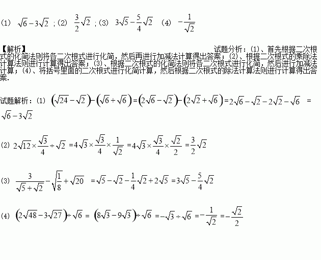
计算:

(1)

(2)

(3)

(4)

练习册系列答案
相关习题

科目:初中数学 来源: 题型:解答题

20.在平面直角坐标系xOy中,已知一次函数y1=mx(m≠0)与y2=kx+b(k≠0)相交于点A(1,2),且y2=kx+b(k≠0)与y轴交于点B(0,3).
(1)求一次函数y1和y2的解析式;
(2)当y1>y2>0时,求出x的取值范围.

查看答案和解析>>

科目:初中数学 来源:2017届湖北省大冶市九年级3月月考数学试卷(解析版) 题型:单选题

实数﹣17的相反数是(  )

A. 17 B. C. ﹣17 D. ﹣

查看答案和解析>>

科目:初中数学 来源:2016-2017学年广东省揭阳市七年级下学期第一次月考数学试卷(解析版) 题型:单选题

一个正方形的边长增加了,面积相应增加了,则这个正方形的边长为( )

A. 6cm B. 5cm C. 8cm D. 7cm

查看答案和解析>>

科目:初中数学 来源:2016-2017学年广东省揭阳市七年级下学期第一次月考数学试卷(解析版) 题型:单选题

下列运算正确的是( )

A. a2·a3=a5 B. (a2)3=a5 C. a6÷a2=a3 D. a6-a2=a4

查看答案和解析>>

科目:初中数学 来源:2017届广西马山县民族中学春季学期第一次月考八年级数学试卷(解析版) 题型:填空题

如果,则x的范围是_____________。

查看答案和解析>>

科目:初中数学 来源:2017届广西马山县民族中学春季学期第一次月考八年级数学试卷(解析版) 题型:单选题

以下句子正确的( )

A. B. C. D.

查看答案和解析>>

科目:初中数学 来源: 题型:选择题

11.适合下列条件的△ABC,直角三角形的个数为(  )
①a=1,b=2,c=$\sqrt{3}$;
②∠A:∠B:∠C=3:4:5;
③a2-b2=c2
④∠A+∠B=∠C;
⑤a=$\frac{1}{3}$,b=$\frac{1}{4}$,c=$\frac{1}{5}$.
A.2个B.3个C.4个D.5个

查看答案和解析>>

科目:初中数学 来源: 题型:选择题

12.如图,点A在第一象限内,其坐标为(2,1),以OA为边在x轴上方作正方形OABC,则正方形OABC的顶点C的坐标是(  )
A.(-2,1)B.(1,3)C.(1,2)D.(-1.2)

查看答案和解析>>

同步练习册答案