精英家教网 > 初中数学 > 题目详情

根据卫生防疫部门要求,游泳池必须定期换水,清洗.某游泳池周五早上8:00打开排水孔开始排水,排水孔的排水速度保持不变,期间因清洗游泳池需要暂停排水,游泳池的水在11:30全部排完.游泳池内的水量Q(m2)和开始排水后的时间t(h)之间的函数图象如图所示,根据图象解答下列问题:

(1)暂停排水需要多少时间?排水孔排水速度是多少?

(2)当2≤t≤3.5时,求Q关于t的函数表达式.

练习册系列答案
相关习题

科目:初中数学 来源:2017届浙江省杭州市淳安县九年级下学期期中(中考模拟)考试数学试卷(解析版) 题型:填空题

若不等式的解集是x>3,则a的取值范围是_____________ .

查看答案和解析>>

科目:初中数学 来源:2017届江苏省泰州市姜堰区九年级中考适应性考试(一)数学试卷(解析版) 题型:解答题

如图,矩形ABCD中,AB=4,BC=).P为边BC上一动点(不与B、C重合),过P点作PE⊥AP交直线CD于E.

(1)求证:△ABP∽△PCE;

(2)当P为BC中点时,E恰好为CD的中点,求的值;

(3)若=12,DE=1,求BP的长.

查看答案和解析>>

科目:初中数学 来源:2017届江苏省泰州市姜堰区九年级中考适应性考试(一)数学试卷(解析版) 题型:填空题

因式分【解析】
=_________.

查看答案和解析>>

科目:初中数学 来源:2017届江苏省泰州市姜堰区九年级中考适应性考试(一)数学试卷(解析版) 题型:单选题

﹣2的绝对值是(  )

A. ﹣2 B. 2 C. ±2 D.

查看答案和解析>>

科目:初中数学 来源:2017届浙江省嵊州市数学试卷《考前磨刀(一)》(解析版) 题型:填空题

计算: =_______.

查看答案和解析>>

科目:初中数学 来源:2017届浙江省嵊州市数学试卷《考前磨刀(一)》(解析版) 题型:单选题

据市统计局调查数据显示,我市目前常住人口约为4470000人,数据“4470000”用科学记数法可表示为(  )

A. 4.47×106 B. 4.47×107 C. 0.447×107 D. 447×104

查看答案和解析>>

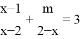
科目:初中数学 来源:2016-2017学年江苏省丹阳市八年级下学期期中考试数学试卷(解析版) 题型:单选题

若分式方程无解,则m的值为(  )

A. ﹣1 B. 1 C. ﹣2 D. 2

查看答案和解析>>

科目:初中数学 来源:2016-2017学年江苏省宜兴市八年级下学期期中考试数学试卷(解析版) 题型:单选题

分式的值为0,则 (     )

A. B. C. D.

查看答案和解析>>

同步练习册答案