精英家教网 > 初中数学 > 题目详情
关的一元二次方程(x-2)(x-3)=m有两个实数根x1、x2
(1)求的m取值范围;
(2)若x1、x2满足等式x1x2-x1-x2+1=0,求m的值。
18、解:由
整理,得
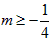
(1)∵方程有两个实数根,

解之,得
(2)取m=2,则方程为
解得
练习册系列答案
相关习题

科目:初中数学 来源: 题型:

关x的一元二次方程(x-2)(x-3)=m有两个实数根x1、x2
(1)求m的取值范围;
(2)若x1、x2满足等式x1x2-x1-x2+1=0,求m的值.

查看答案和解析>>

科目:初中数学 来源: 题型:

11、关x的一元二次方程(a-2)x2-3x+a2+a+6=0的一个根是4,则a=
-19

查看答案和解析>>

科目:初中数学 来源: 题型:

已知关x的一元二次方程x2+(R+r)x+
1
4
d2
=0没有实根,其中R、r分别为⊙O1、⊙O2的半径,d为两圆的圆心距,则两圆的公切线的条数为(  )

查看答案和解析>>

科目:初中数学 来源:第28章《一元二次方程》中考题集(17):28.2 解一元二次方程(解析版) 题型:解答题

关x的一元二次方程(x-2)(x-3)=m有两个实数根x1、x2
(1)求m的取值范围;
(2)若x1、x2满足等式x1x2-x1-x2+1=0,求m的值.

查看答案和解析>>

同步练习册答案