精英家教网 > 初中数学 > 题目详情
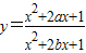
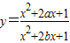
求函数的最值.
【答案】分析:将函数化为关于x的一元二次方程:(1-y)x2+2(a-by)x+(1-y)=0,从而得出△≥0,将本题视为在△≥0的情况下求y的最值,然后讨论b的范围,在b不同范围内求出y的最值.
解答:解:把化为关于x的二次方程(1-y)x2+2(a-by)x+(1-y)=0,
∵△=(b2-1)y2-2(ab-1)y+a2-1≥0,
①b2-1>0,即|b|>1,
,可得


②b2-1<0,即|b|<1,则有


③b2-1=0,即|b|=1,得
当ab>1时,y≤,∴
ab<1时,y≥,∴
点评:本题考查了二次函数的最值,难度较大,主要在做题时要分不同情况讨论b的取值,再根据b的值最后求y的值.
练习册系列答案
相关习题

科目:初中数学 来源:学习周报 数学 沪科九年级版 2009-2010学年 第2期 总第158期 沪科版 题型:044

在实际问题中求函数的最值时,要将函数关系式写成什么形式?顶点的纵坐标一定是函数的最值吗?如果顶点的纵坐标不是函数的最值,应如何求函数的最值?

查看答案和解析>>

科目:初中数学 来源:数学教研室 题型:044

利用两种方法求函数的最值.

查看答案和解析>>

科目:初中数学 来源: 题型:解答题

求函数数学公式的最值.

查看答案和解析>>

科目:初中数学 来源:竞赛辅导:函数最值问题常用策略及应用1(解析版) 题型:解答题

当x为实数时,求函数的最值?

查看答案和解析>>

同步练习册答案