精英家教网 > 初中数学 > 题目详情

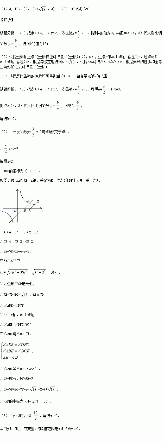
如图,已知一次函数y=x-3与反比例函数的图象相交于点A,与x轴相交于点B.

(1)填空:的值为 的值为

(2)以AB为边作菱形ABCD,使点C在x轴正半轴上,点D在第一象限,求点D的坐标;

(3)观察反比函数的图象,当时,请直接写出自变量的取值范围.

练习册系列答案
相关习题

科目:初中数学 来源:2015-2016学年江苏省无锡市华士片八年级下学期期中考试数学试卷(解析版) 题型:填空题

如图,在Rt△ABC中,∠BAC=90°,AB=6,AC=8, P为边BC上一动点,PE⊥AB于E, PF⊥AC于F,M为EF中点,则AM的的最小值是

查看答案和解析>>

科目:初中数学 来源:2015-2016学年江苏省无锡市长泾片八年级下学期期中考试数学试卷(解析版) 题型:解答题

如图①是一张矩形纸片, , .在边上取一点,在边上取一点,将纸片沿折叠,使交于点,得到,如图②所示.

(1)若,求的度数.

(2) 的面积能否小于?若能,求出此时的度数;若不能,试说明理由.

(3)如何折叠能够使的面积最大?请你画图探究可能出现的情况,求出最大值.

查看答案和解析>>

科目:初中数学 来源:2015-2016学年江苏省无锡市长泾片八年级下学期期中考试数学试卷(解析版) 题型:填空题

已知,则代数式的值为

查看答案和解析>>

科目:初中数学 来源:2015-2016学年江苏省无锡市长泾片八年级下学期期中考试数学试卷(解析版) 题型:选择题

中分式的个数有( )

A.1个 B.2个 C.3个 D.4个

查看答案和解析>>

科目:初中数学 来源:2015-2016学年江苏省苏州市区初中联盟八年级下期中数学试卷(解析版) 题型:解答题

先化简,再求值:,其中

查看答案和解析>>

科目:初中数学 来源:2015-2016学年江苏省苏州市区初中联盟八年级下期中数学试卷(解析版) 题型:填空题

小明统计了他家今年5月份打电话的次数及通话时间,并列出了频数分布表:

通话时间x/min

0<x≤5

5<x≤10

10<x≤15

15<x≤20

频数(通话次数)

20

16

9

5

则通话时间超过15min的频率为___________.

查看答案和解析>>

科目:初中数学 来源:2015-2016学年江苏省苏州工业园区七年级上学期期末考试数学试卷(解析版) 题型:解答题

如图,一副三角板的两个直角顶点重合在一起.

(1)若∠EON=140°,求∠MOF的度数;

(2)比较∠EOM与∠FON的大小,并写出理由;

(3)求∠EON+∠MOF的度数.

查看答案和解析>>

科目:初中数学 来源:2015-2016学年江苏省江阴市马镇七年级下第一次月考数学试卷(解析版) 题型:选择题

如果等式成立,则的值可能有( )

A. 1个 B. 2个 C. 3个 D. 4个

查看答案和解析>>

同步练习册答案