精英家教网 > 初中数学 > 题目详情

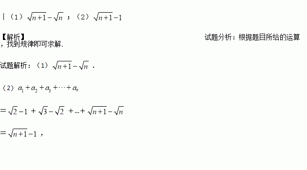
观察下列等式:

第1个等式: ; 第2个等式:

第3个等式: ; 第4个等式:

……

按上述规律,回答以下问题:

(1)请写出第个等式: =________;

(2)求的值.

练习册系列答案
相关习题

科目:初中数学 来源:2016-2017学年山东省济南市槐荫区八年级下学期期中考试数学试卷(解析版) 题型:填空题

如图,菱形ABCD的两条对角线分别长6和8,点P是对角线AC上的一个动点,点M、N分别是边AB、BC的中点,则PM+PN的最小值是________.

查看答案和解析>>

科目:初中数学 来源:2016-2017学年江苏连云港新海实验中学度第二学期九年级中考第一次模拟数学试卷(解析版) 题型:解答题

小米手机越来越受到大众的喜爱,各种款式相继投放市场,某店经营的A款手机去年销售总额为50000元,今年每部销售价比去年降低400元,若卖出的数量相同,销售总额将比去年减少20%.

(1)今年A款手机每部售价多少元?

(2)该店计划新进一批A款手机和B款手机共60部,且B款手机的进货数量不超过A款手机数量的两倍,应如何进货才能使这批手机获利最多?

A,B两款手机的进货和销售价格如下表:

查看答案和解析>>

科目:初中数学 来源:2016-2017学年江苏连云港新海实验中学度第二学期九年级中考第一次模拟数学试卷(解析版) 题型:单选题

如图,△ABC中,∠C=90°,∠B=60°,AC=,点D在AC上,以CD为直径作⊙O与BA相切于点E,则BE的长为( )

A. B. C. 2 D. 3

查看答案和解析>>

科目:初中数学 来源:2016-2017学年江苏连云港新海实验中学度第二学期九年级中考第一次模拟数学试卷(解析版) 题型:单选题

的值等于( )

A. 2 B. C. D.

查看答案和解析>>

科目:初中数学 来源:2016-2017学年山东省八年级下学期期中考试数学试卷(解析版) 题型:填空题

计算的结果是____________.

查看答案和解析>>

科目:初中数学 来源:2016-2017学年山东省八年级下学期期中考试数学试卷(解析版) 题型:单选题

平面直角坐标系中,已知□ABCD的三个顶点坐标分别是A(m,n),B ( 2,-l ),C(-m,-n),则点D的坐标是( )

A. (-2 ,l ) B. (-2,-l ) C. (-1,-2 ) D .(-1,2 )

查看答案和解析>>

科目:初中数学 来源:2017届山东省九年级一轮复习验收考试数学试卷(解析版) 题型:填空题

如图,将矩形纸片ABCD折叠,使点D与点B重合,点C落在C'处,折痕为EF,若AB=1,BC=2,则△ABE和△的周长之和是____________.

查看答案和解析>>

科目:初中数学 来源:2016-2017学年山东省七年级下学期期中考试数学试卷(解析版) 题型:单选题

下列选项中能由左图平移得到的是(  )

A. B. C. D.

查看答案和解析>>

同步练习册答案