精英家教网 > 初中数学 > 题目详情

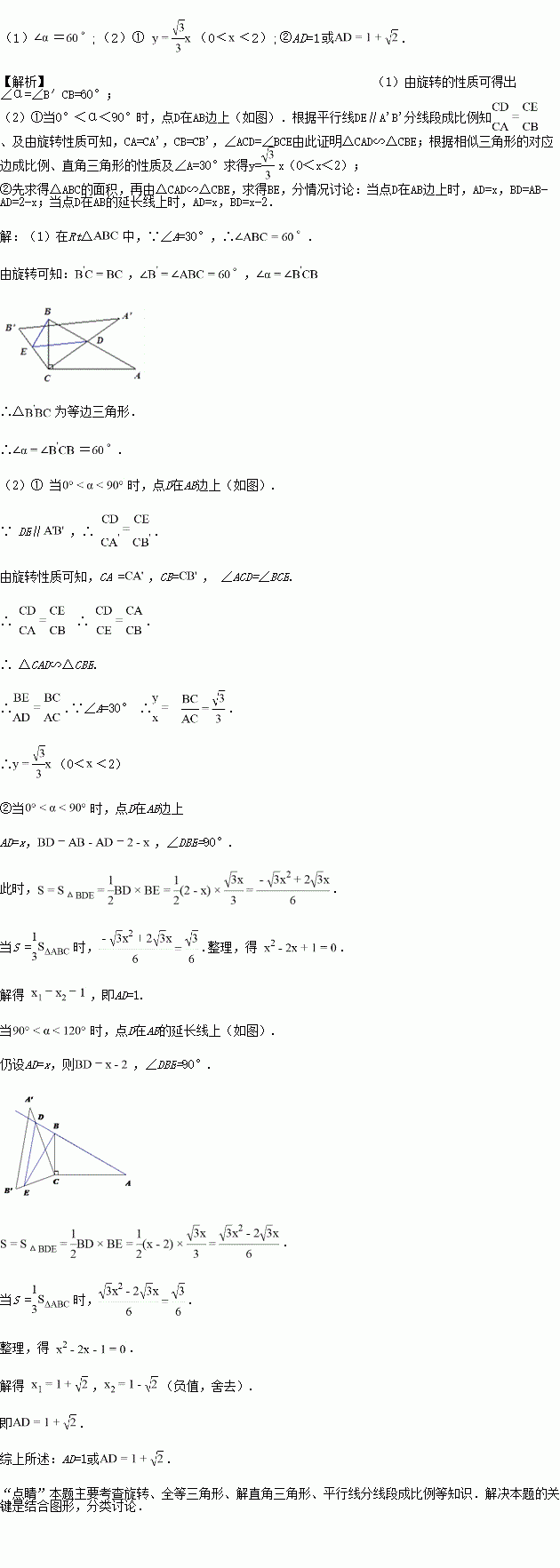
直角三角板ABC中,∠A=30°,BC=1.将其绕直角顶点C逆时针旋转一个角),得到Rt△.

(1)如图,当边经过点B时,求旋转角的度数;

(2)在三角板旋转的过程中,边与AB所在直线交于点D,过点 D作DE∥边于点E,联结BE.

①当时,设AD=,BE=,求之间的函数解析式及自变量 的取值范围;

②当时,求AD的长.

练习册系列答案
相关习题

科目:初中数学 来源:2017届甘肃兰州市九年级中考模拟数学试卷(解析版) 题型:填空题

把一元二次方程(x+1)(1﹣x)=2x化成二次项系数大于零的一般式,其中二次项系数是___,一次项系数是___,常数项是______.

查看答案和解析>>

科目:初中数学 来源:2015-2016学年江苏省南通市八年级下学期期中考试数学试卷(解析版) 题型:选择题

如图,在平行四边形ABCD中,∠B=80°,AE平分∠BAD交BC于点E,CF∥AE交AD于点F,则∠1=( )

A.40° B.50° C.60° D.80°

查看答案和解析>>

科目:初中数学 来源:2017届广东省汕头市澄海区九年级5月中考模拟数学试卷(解析版) 题型:填空题

-2017的相反数是_________.

查看答案和解析>>

科目:初中数学 来源:2017届广东省汕头市澄海区九年级5月中考模拟数学试卷(解析版) 题型:单选题

下列运算正确的是( )

A. B. C. D.

查看答案和解析>>

科目:初中数学 来源:2017届福建省九年级下学期第二次质量检测数学试卷(解析版) 题型:解答题

已知:如图,点B,F,C,E在同一条直线上,BF=CE,AC=DF,且AC∥DF.

求证:∠B=∠E.

查看答案和解析>>

科目:初中数学 来源:2017届福建省九年级下学期第二次质量检测数学试卷(解析版) 题型:填空题

因式分【解析】
x2﹣9=______

查看答案和解析>>

科目:初中数学 来源:2017届安徽六安叶集区桥店中学九年级中考模拟数学试卷(解析版) 题型:解答题

已知抛物线经过点A(3,0),B(-1,0).

(1)求抛物线的解析式;

(2)求抛物线的顶点坐标.

查看答案和解析>>

科目:初中数学 来源:2016-2017学年安徽省宁国市D片七年级下学期期中联考数学试卷(解析版) 题型:解答题

大课间活动中,小明和体育老师、班主任3人玩跷跷板游戏,3人体重一共为210千克,体育老师坐在跷跷板的一端,体重只有班主任一半的小明和班主任一同坐在跷跷板的另一端,这时,体育老师的那端仍然着地,后来,小明借来一副质量为30千克的哑铃,加在他和班主任的一端,结果,体育老师的那端被跷起离地。请你确定小明体重的范围.

查看答案和解析>>

同步练习册答案