精英家教网 > 初中数学 > 题目详情

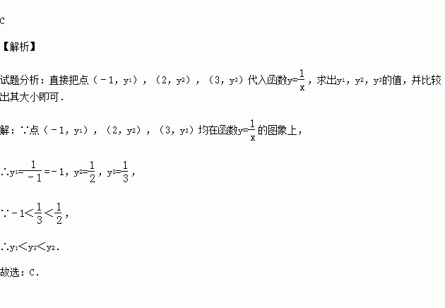
(2015秋•安庆期末)点(﹣1,y1),(2,y2),(3,y3)均在函数y=的图象上,则y1,y2,y3的大小关系是( )

A.y3<y2<y1 B.y2<y3<y1 C.y1<y3<y2 D.y1<y2<y3

练习册系列答案
相关习题

科目:初中数学 来源:2016届福建省九年级上学期期末数学试卷(解析版) 题型:选择题

(2013•义乌市)已知两点P1(x1,y1)、P2(x2、y2)在反比例函数y=的图象上,当x1>x2>0时,下列结论正确的是( )

A.0<y1<y2 B.0<y2<y1 C.y1<y2<0 D.y2<y1<0

查看答案和解析>>

科目:初中数学 来源:2016届安徽省合肥市高新区九年级上学期期末数学试卷(解析版) 题型:选择题

(2015•荆州)如图,正方形ABCD的边长为3cm,动点P从B点出发以3cm/s的速度沿着边BC﹣CD﹣DA运动,到达A点停止运动;另一动点Q同时从B点出发,以1cm/s的速度沿着边BA向A点运动,到达A点停止运动.设P点运动时间为x(s),△BPQ的面积为y(cm2),则y关于x的函数图象是( )

A. B.

C. D.

查看答案和解析>>

科目:初中数学 来源:2016届安徽省安庆市九年级上学期期末数学试卷(解析版) 题型:计算题

(2015秋•安庆期末)计算:tan30°cos60°+tan45°cos30°.

查看答案和解析>>

科目:初中数学 来源:2016届安徽省安庆市九年级上学期期末数学试卷(解析版) 题型:选择题

(2015•凉山州)如图,△ABC内接于⊙O,∠OBC=40°,则∠A的度数为( )

A.80° B.100° C.110° D.130°

查看答案和解析>>

科目:初中数学 来源:2016届河北省唐山市滦县九年级上学期期末数学试卷(解析版) 题型:解答题

(2015秋•滦县期末)(1)问题:如图1,在四边形ABCD中,点P为AB上一点,∠DPC=∠A=∠B=90°.求证:AD•BC=AP•BP.

(2)探究:如图2,在四边形ABCD中,点P为AB上一点,当∠DPC=∠A=∠B=θ时,上述结论是否依然成立?说明理由.

(3)应用:请利用(1)(2)获得的经验解决问题:

如图3,在△ABD中,AB=12,AD=BD=10.点P以每秒1个单位长度的速度,由点A出发,沿边AB向点B运动,且满足∠DPC=∠A.设点P的运动时间为t(秒),当以D为圆心,以DC为半径的圆与AB相切,求t的值.

查看答案和解析>>

科目:初中数学 来源:2016届河北省唐山市滦县九年级上学期期末数学试卷(解析版) 题型:填空题

(2015秋•滦县期末)如图,△ABC中,DE∥BC,EF∥AB,AD=3,AB=7,BF=2,则FC的长为

查看答案和解析>>

科目:初中数学 来源:2016届河北省唐山市滦县九年级上学期期末数学试卷(解析版) 题型:选择题

(2015秋•滦县期末)方程x2+1=2x的根是( )

A.x1=1,x2=﹣1

B.x1=x2=1

C.x1=x2=﹣1

D.x1=1+,x2=1﹣

查看答案和解析>>

科目:初中数学 来源:2016届河北省保定市竞秀区九年级上学期期末数学试卷(解析版) 题型:选择题

(2015秋•保定期末)某商店3月份的营业额为15万元,4月份的营业额比3月份的营业额减少了10%,商店经过加强管理,实施各种措施.使得5,6月份的营业额连续增长,6月份的营业额达到了20万元;设5,6月份的营业额的平均增长率为x,以题意可列方程为( )

A.15(1+x)2=20

B.20(1+x)2=15

C.15(1﹣10%)(1+x)2=20

D.20(1﹣10%)(1+x)2=15

查看答案和解析>>

同步练习册答案