精英家教网 > 初中数学 > 题目详情

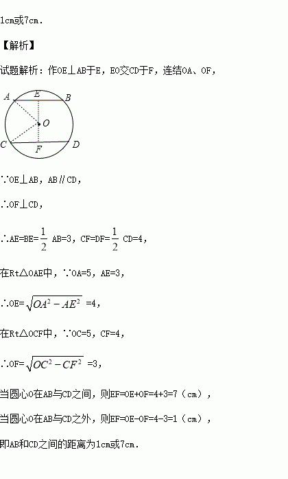
在半径为5cm的⊙O中,弦AB∥CD,且AB=8cm,CD=6cm,则AB、CD之间的距离为 .

练习册系列答案
相关习题

科目:初中数学 来源:2016届江苏省淮泗片教育联盟九年级下学期第一次月考数学试卷(解析版) 题型:选择题

二次函数的图象如图所示,下列结论:①、2a+b=0;②、a+c>b;③抛物线与x轴的另一个交点为(3,0);④、abc>0。其中正确的结论的个数是( )

A. 1个 B. 2 个 C. 3个 D. 4个

查看答案和解析>>

科目:初中数学 来源:2016届江西省九年级下学期第一次模拟测试数学试卷(解析版) 题型:计算题

查看答案和解析>>

科目:初中数学 来源:2016届四川省巴中市巴州区九年级下学期第一次月考数学试卷(解析版) 题型:解答题

如图,PB为⊙O的切线,B为切点,过B作OP的垂线BA,垂足为C,交⊙O于点A,连接PA,AO,并延长AO交⊙O于点E,与PB的延长线交于点D.

(1) 求证:PA是⊙O的切线;

(2) 若,且OC=4,求PA的长.

查看答案和解析>>

科目:初中数学 来源:2016届四川省巴中市巴州区九年级下学期第一次月考数学试卷(解析版) 题型:计算题

计算:(1) (2)+|-2

查看答案和解析>>

科目:初中数学 来源:2016届四川省巴中市巴州区九年级下学期第一次月考数学试卷(解析版) 题型:填空题

用激光测距仪测量两座山峰之间的距离,从一座山峰发出的激光经过4×10-5秒到达另一座山峰,已知光速为3×108米/秒,则这两座山峰之间的距离用科学计数法表示为 米.

查看答案和解析>>

科目:初中数学 来源:2016届四川省巴中市巴州区九年级下学期第一次月考数学试卷(解析版) 题型:选择题

在下列调查中,适宜采用全面调查的是( )

A.了解我省中学生的视力情况

B.了解我校九(1)班学生校服的尺码情况

C.检测一批电灯泡的使用寿命

D.调查巴中电视台《新闻365》栏目的收视率

查看答案和解析>>

科目:初中数学 来源:2016届云南省临沧市九年级上学期期末数学试卷(解析版) 题型:填空题

已知一元二次方程:x2-3x-1=0的两个根分别是x1、x2,则x12x2+x1x22=

查看答案和解析>>

科目:初中数学 来源:2016届江苏省扬州市邵樊片九年级下学期第一次月考数学试卷(解析版) 题型:解答题

在一个箱子中有三个分别标有数字1,2,3的材质、大小都相同的小球,从中任意摸出一个小球,记下小球的数字x后,放回箱中并摇匀,再摸出一个小球,又记下小球的数字y。以先后记下的两个数字(x,y)作为点P的坐标。

(1)求点P的横坐标与纵坐标的和为4的概率,并画出树状图或列表;

(2)求点P落在以坐标原点为圆心、为半径的圆的内部的概率。

查看答案和解析>>

同步练习册答案