精英家教网 > 初中数学 > 题目详情

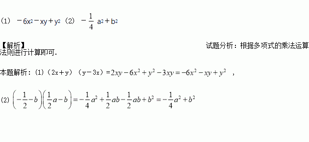
计算:(1)(2x+y)(y-3x) (2) .

练习册系列答案
相关习题

科目:初中数学 来源:2017届广东省九年级上学期第五次月考数学试卷(解析版) 题型:填空题

如图,在边长为4的正方形ABCD中,先以点A为圆心,AD的长为半径画弧,再以AB边的中点为圆心,AB长的一半为半径画弧,则两弧之间的阴影部分面积是______(结果保留

查看答案和解析>>

科目:初中数学 来源:2016-2017学年山东省滨州市邹平双语学校一二区八年级上学期期中考试数学试卷(解析版) 题型:解答题

先化简,再求值:(﹣x﹣1)÷,其中x=,y=

查看答案和解析>>

科目:初中数学 来源:2016-2017学年山东省滨州市邹平双语学校一二区八年级上学期期中考试数学试卷(解析版) 题型:单选题

化简÷(1-)的结果是

A. B. C. x+1 D. x-1

查看答案和解析>>

科目:初中数学 来源:2016-2017学年山东省滨州市邹平双语学校一二区八年级上学期期中考试数学试卷(解析版) 题型:解答题

(12分)

(1) 填空:

(a-b)(a+b)=________;

(a-b)(a2+ab+b2)=________;

(a-b)(a3+a2b+ab2+b3)=________.

(2) 猜想:

(a-b)(an-1+an-2b+…+abn-2+bn-1)=________ (其中n为正整数,且n≥2).

(3) 利用(2)猜想的结论计算: 29-28+27-…+23-22+2

查看答案和解析>>

科目:初中数学 来源:2016-2017学年山东省滨州市邹平双语学校一二区八年级上学期期中考试数学试卷(解析版) 题型:填空题

化简: =_____.

查看答案和解析>>

科目:初中数学 来源:2016-2017学年山东省滨州市邹平双语学校一二区八年级上学期期中考试数学试卷(解析版) 题型:单选题

若(17x﹣11)(7x﹣3)﹣(7x﹣3)(9x﹣2)=(ax+b)(8x﹣c),其中a,b,c是整数,则a+b+c的值等于(  )

A. 9 B. ﹣7 C. 13 D. 17

查看答案和解析>>

科目:初中数学 来源:2016-2017学年江苏省苏州张家港市九年级第二学期第一次模拟数学试卷(解析版) 题型:解答题

(本题满分6分)解不等式组

查看答案和解析>>

科目:初中数学 来源:2017届山东省滨州市无棣县九年级中考模拟数学试卷(解析版) 题型:单选题

分解因式a2b-b3结果正确的是(  )

A. b(a+b)(a-b) B. b(a-b)2

C. b(a2-b2) D. b(a+b)2

查看答案和解析>>

同步练习册答案