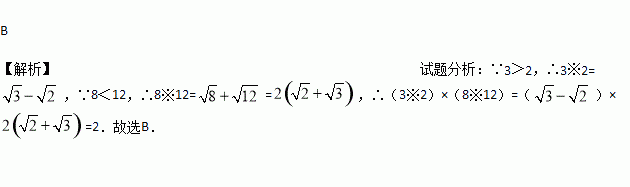
精英家教网 > 初中数学 > 题目详情

对于任意的正数m、n定义运算※为:m※n =,计算(3※2)×(8※12)的结果为(   )

A. 2﹣4 B. 2 C. 2 D. 20

练习册系列答案
相关习题

科目:初中数学 来源:2017届湖南省祁阳县中考二模数学试卷(解析版) 题型:单选题

下列计算正确的是(  )

A. (2a-1)2=4a2-1 B. 3a6÷3a3=a2

C. (-ab2) 4=-a4b6 D. -2a+(2a-1)=-1

查看答案和解析>>

科目:初中数学 来源:2016-2017学年江苏省无锡市七年级3月月考数学试卷(解析版) 题型:单选题

如图,△ABC的角平分线 CD、BE相交于F,∠A=90°,EG∥BC,且CG⊥EG于G,下列结论:①∠CEG=2∠DCB;②CA平分∠BCG;③∠ADC=∠GCD;④∠DFB=∠CGE.其中正确的结论是( )

A. ①③ B. ②④ C. ①③④ D. ①②③④

查看答案和解析>>

科目:初中数学 来源:2016-2017学年重庆市江津区五校联考八年级下学期第一次月考数学试卷(解析版) 题型:解答题

如图,已知在△ABC中,∠A=90°,D是BC中点,且DE⊥BC于D,交AB于E,求证:BE2﹣EA2=AC2.

查看答案和解析>>

科目:初中数学 来源:2016-2017学年重庆市江津区五校联考八年级下学期第一次月考数学试卷(解析版) 题型:填空题

已知,则的值为__________.

查看答案和解析>>

科目:初中数学 来源:2016-2017学年重庆市江津区五校联考八年级下学期第一次月考数学试卷(解析版) 题型:单选题

下列式子中,不属于代数式的是(   )

A. a+3 B. 2mn C. D. x>y

查看答案和解析>>

科目:初中数学 来源:2016-2017学年山东省济南市槐荫区七年级下学期期中考试数学试卷(解析版) 题型:解答题

(1)先阅读,再填空:

(x+5)(x+6)=x2+11x+30;

(x-5)(x-6)=x2-11x+30;

(x-5)(x+6)=x2+x-30;

(x+5)(x-6)=x2-x-30.

观察上面的算式,根据规律,直接写出下列各式的结果:

(a+90)(a-100)=____________; (y-80)(y-90)=____________.

(2)先阅读,再填空:

.

观察上面各式:①由此归纳出一般性规律:

________;

②根据①直接写出1+3+32+…+367+368的结果 ____________.

查看答案和解析>>

科目:初中数学 来源:2016-2017学年山东省济南市槐荫区七年级下学期期中考试数学试卷(解析版) 题型:单选题

小明的妈妈用280元买了甲、乙两种药材.甲种药材每斤20元,乙种药材每斤60斤,且甲种药材比乙种药材多买了2斤.设买了甲种药材x斤,乙种药材y斤,你认为小明应该列出哪一个方程组求两种药材各买了多少斤?(  )

A. B. C. D.

查看答案和解析>>

科目:初中数学 来源:2017届福建省中考模拟数学试卷(解析版) 题型:单选题

网上商品零售额6310亿元,将6310用科学记数法表示应为(  )

A. 6.310×103 B. 63.10×102 C. 0.6310×104 D. 6.310×104

查看答案和解析>>

同步练习册答案